Telefon:
+49 (0)241 95 163 153
Fax:
+49 (0)241 95 163 155
E-Mail:
orders@antikoerper-online.de

Bcl-2 ELISA Kit

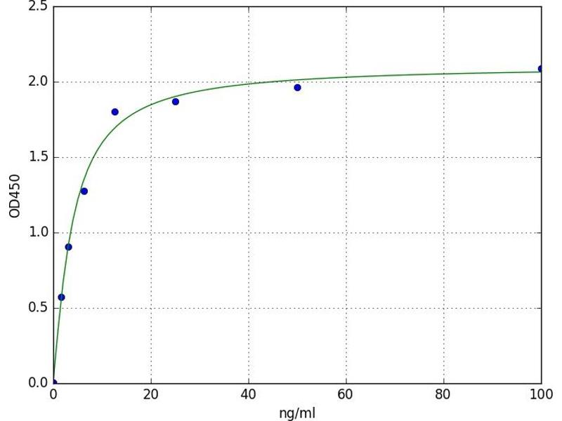
Das Human Bcl-2 ELISA Kit (ABIN5522888) ist ein Colorimetric ELISA Kit zur Detektion von Human Bcl-2.
Produktnummer ABIN5522888
481,54 €
Zzgl. Versandkosten 20,00 € und MwSt
96 tests
Lieferung nach: Deutschland
Lieferung in 11 bis 15 Werktagen

Kurzübersicht für Bcl-2 ELISA Kit (ABIN5522888)

Target

Alle Bcl-2 (BCL2) ELISA Kits anzeigen
Bcl-2 (BCL2) (B-Cell CLL/lymphoma 2 (BCL2))

Reaktivität

  • 9
  • 8
  • 7
  • 2
  • 2
  • 2
  • 2
  • 2
  • 2
  • 1
  • 1
  • 1
Human

Nachweismethode

Colorimetric

Methodentyp

Sandwich ELISA

Detektionsbereich

1.563 ng/mL - 100 ng/mL

Applikation

ELISA

Proben

Plasma, Serum, Tissue Homogenate
  • Untere Nachweisgrenze

    1.563 ng/mL

    Verwendungszweck

    For quantitative detection of Bcl-2 in serum, plasma, tissue homogenates.

    Analytische Methode

    Quantitative

    Spezifität

    This assay has high sensitivity and excellent specificity for detection of Bcl-2. No significant cross-reactivity or interference between Bcl-2 and analogues was observed. Note: Limited by current skills and knowledge, it is difficult for us to complete the cross-reactivity detection between Bcl-2 and all the analogues, therefore, cross reaction may still exist.

    Sensitivität

    0.938 ng/mL

    Bestandteile

    - ELISA Microplate
    - Lyophilized Standard
    - Sample / Standard Dilution Buffer
    - Biotin-labeled Antibody (Concentrated)
    - Antibody Dilution Buffer
    - HRP-Streptavidin Conjugate(SABC)
    - SABC Dilution Buffer
    - TMB Substrate
    - Stop Solution
    - Wash Buffer (25X)
    - Plate Sealer
    - Product Description
  • Applikationshinweise

    Optimal working dilution should be determined by the investigator.

    Kommentare

    Sandwich ELISA, Double Antibody

    Probenmenge

    100 μL

    Plattentyp

    Pre-coated

    Beschränkungen

    Nur für Forschungszwecke einsetzbar
  • Lagerung

    4 °C

    Informationen zur Lagerung

    1. For unopened kit: All the reagents should be kept according to the labels on vials. The Reference Standard and the 96-well stripe plate should be stored at -20 °C upon receipt while the other reagents should be stored at 4 °C.
    2. For used kit: When the kit is used, the remaining reagents need to be stored according to the above storage condition. Besides, please return the unused wells to the foil pouch containing the desiccant pack, and zip-seal the foil pouch.

    Haltbarkeit

    6 months
  • Target Alle Bcl-2 (BCL2) ELISA Kits anzeigen

    Bcl-2 (BCL2) (B-Cell CLL/lymphoma 2 (BCL2))

    Andere Bezeichnung

    Bcl-2

    Hintergrund

    Bcl-2/apoptosis regulator Bcl-2/B-cell CLL/lymphoma 2

    UniProt

    P10415

    Pathways

    MAPK Signalweg, PI3K-Akt Signalweg, Apoptose, Caspase Kaskade in der Apoptose, Regulation of Muscle Cell Differentiation, Cell-Cell Junction Organization, Skeletal Muscle Fiber Development, Autophagie, Smooth Muscle Cell Migration, Negative Regulation of intrinsic apoptotic Signaling
Sie sind hier:
Chat with us!