Telefon:
+49 (0)241 95 163 153
Fax:
+49 (0)241 95 163 155
E-Mail:
orders@antikoerper-online.de

NFkB ELISA Kit

Dieses Colorimetric ELISA kit dient der quantitativen Messung von Ratte NFkB. Es wurde in 1 Publikation zitiert.
Produktnummer ABIN5523538
481,54 €
Zzgl. Versandkosten 20,00 € und MwSt
96 tests
Lieferung nach: Deutschland
Lieferung in 11 bis 15 Werktagen

Kurzübersicht für NFkB ELISA Kit (ABIN5523538)

Target

Alle NFkB ELISA Kits anzeigen
NFkB (Nuclear Factor kappa B (NFkB))

Reaktivität

  • 8
  • 6
  • 4
  • 3
  • 3
  • 3
  • 2
  • 2
  • 2
  • 2
  • 2
  • 2
Ratte

Nachweismethode

Colorimetric

Methodentyp

Sandwich ELISA

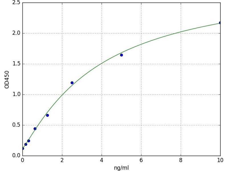
Detektionsbereich

0.15 ng/mL - 10 ng/mL

Applikation

ELISA

Proben

Plasma, Serum, Tissue Homogenate
  • Untere Nachweisgrenze

    0.15 ng/mL

    Verwendungszweck

    For quantitative detection in serum, plasma, tissue homogenates and other biological fluids.

    Analytische Methode

    Quantitative

    Spezifität

    NF-κB

    Sensitivität

    0.094 ng/mL

    Bestandteile

    - ELISA Microplate
    - Lyophilized Standard
    - Sample / Standard Dilution Buffer
    - Biotin-labeled Antibody (Concentrated)
    - Antibody Dilution Buffer
    - HRP-Streptavidin Conjugate(SABC)
    - SABC Dilution Buffer
    - TMB Substrate
    - Stop Solution
    - Wash Buffer (25X)
    - Plate Sealer
    - Product Description
  • Applikationshinweise

    Optimal working dilution should be determined by the investigator.

    Kommentare

    Sandwich ELISA, Double Antibody

    Probenmenge

    100 μL

    Plattentyp

    Pre-coated

    Beschränkungen

    Nur für Forschungszwecke einsetzbar
  • Lagerung

    4 °C

    Informationen zur Lagerung

    4 °C for 6 months

    Haltbarkeit

    6 months
  • Jana, Maity, Perveen, Dash, Jana, Dey, De, Chattopadhyay et al.: "Attenuation of utero-toxicity, metabolic dysfunction and inflammation by soy protein concentrate in rats exposed to fluoridated water: consequence of hyperlipidemia in parallel with ..." in: Environmental science and pollution research international, Vol. 25, Issue 36, pp. 36462-36473, (2019) (PubMed).

  • Target Alle NFkB ELISA Kits anzeigen

    NFkB (Nuclear Factor kappa B (NFkB))

    Andere Bezeichnung

    NF-kappaB

    Hintergrund

    NF-κB

    Pathways

    Ubiquitin Proteasome Pathway, S100 Proteine
Sie sind hier:
Chat with us!