Telefon:
+49 (0)241 95 163 153
Fax:
+49 (0)241 95 163 155
E-Mail:
orders@antikoerper-online.de

NFkB ELISA Kits

(Nuclear Factor kappa B (NFkB))

Wählen Sie eines der 39 NFkB-ELISA Kits aus unserem Produktangebot basierend auf 41 Publikationen und 18 Validierungsbildern.

Entdecken Sie zuverlässige NFkB-Antikörper aus einer breiten Auswahl renommierter Hersteller. Unser Portfolio ermöglicht eine präzise Detektion von NFkB über verschiedene Spezies hinweg, darunter Human, Mouse, Rat, Chicken, Pig, Rabbit, Cow, Dog, Goat, Guinea Pig, Monkey, Sheep, und unterstützt vielfältige Forschungsanwendungen wie .

Finden Sie schnell den passenden Antikörper mit Hilfe unserer Such-, Filter- und Vergleichstools. Jede Produktseite bietet detaillierte Validierungsdaten, Literaturhinweise und Kundenbewertungen. Im Gegensatz zu reinen Vergleichsplattformen können Sie Ihre ausgewählten Antikörper direkt über unsere Website erwerben – für einen effizienten und transparenten Beschaffungsprozess. Wählen Sie aus polyklonalen, monoklonalen oder rekombinanten NFkB-Antikörpern, die von verschiedenen Wirten wie stammen. Durchstöbern Sie unten unsere Produkte und bestellen Sie direkt, um Ihre Forschung zuverlässig zu unterstützen.

Alternative Bezeichnungen für NFkB sind NFKB1, Nfkb1.

39 Treffer

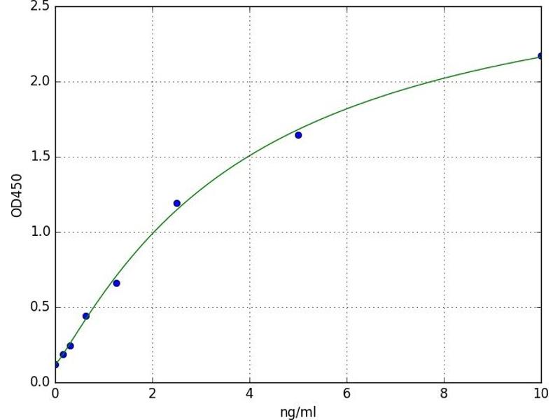
NFkB Reaktivität: Human Colorimetric Sandwich ELISA 0.15 ng/mL - 10 ng/mL Cell Culture Supernatant, Cell Lysate, Tissue Homogenate
Pubmed 8 Referenzen
Produktnummer ABIN6730872
812,78 €
Zzgl. Versandkosten 20,00 € und MwSt
96 tests (Weitere Mengeneinheiten)
Lieferung nach: Deutschland
Lieferung in 10 bis 13 Werktagen
 
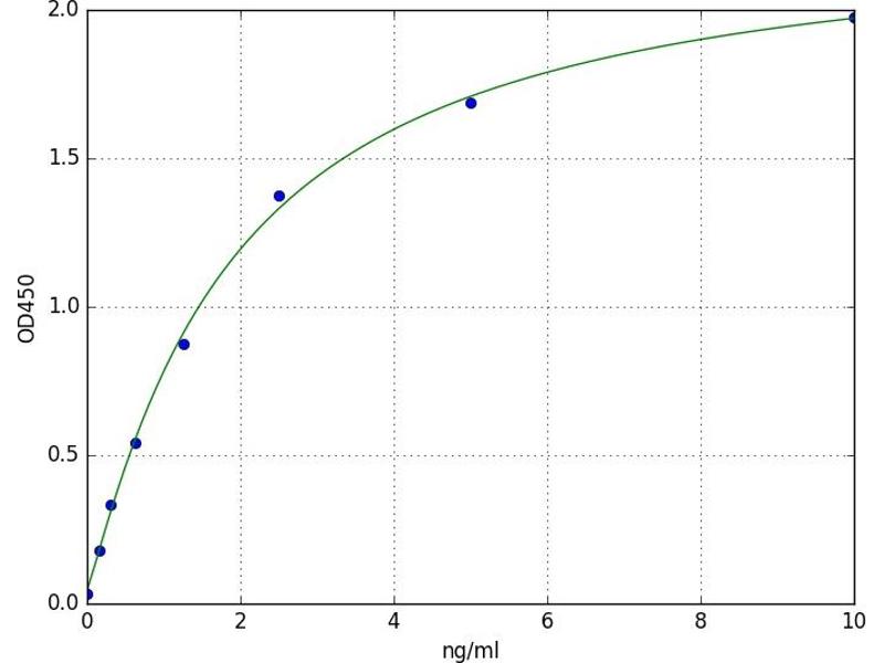
NFkB Reaktivität: Ratte Colorimetric Sandwich ELISA 0.31 ng/mL - 20 ng/mL Cell Culture Supernatant, Cell Lysate, Tissue Homogenate
Pubmed 26 Referenzen
Produktnummer ABIN6958236
882,44 €
Zzgl. Versandkosten 20,00 € und MwSt
96 tests (Weitere Mengeneinheiten)
Lieferung nach: Deutschland
Lieferung in 10 bis 13 Werktagen
 
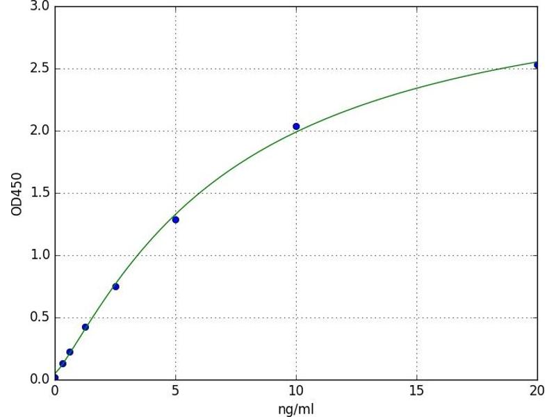
NFkB Reaktivität: Maus Colorimetric Sandwich ELISA 0.15 ng/mL - 10 ng/mL Cell Culture Supernatant, Cell Lysate, Tissue Homogenate
Pubmed 3 Referenzen
Produktnummer ABIN6958235
704,00 €
Zzgl. Versandkosten 20,00 € und MwSt
96 tests (Weitere Mengeneinheiten)
Lieferung nach: Deutschland
Lieferung in 10 bis 13 Werktagen
 
NFkB Reaktivität: Kaninchen Colorimetric Sandwich ELISA 0.31 ng/mL - 20 ng/mL Cell Culture Supernatant, Cell Lysate, Tissue Homogenate
Pubmed 1 reference
Produktnummer ABIN6958237
882,44 €
Zzgl. Versandkosten 20,00 € und MwSt
96 tests (Weitere Mengeneinheiten)
Lieferung nach: Deutschland
Lieferung in 10 bis 13 Werktagen
 
NFkB Reaktivität: Ratte Colorimetric Sandwich ELISA 0.156 ng/mL - 10 ng/mL Plasma, Serum, Tissue Homogenate
Pubmed 1 reference
Produktnummer ABIN6968981
508,85 €
Zzgl. Versandkosten 20,00 € und MwSt
96 tests
Lieferung nach: Deutschland
Lieferung in 11 bis 15 Werktagen
 
NFkB Reaktivität: Huhn Colorimetric Sandwich ELISA 0.15 ng/mL - 10 ng/mL Cell Lysate, Tissue Homogenate
Produktnummer ABIN6958234
882,44 €
Zzgl. Versandkosten 20,00 € und MwSt
96 tests (Weitere Mengeneinheiten)
Lieferung nach: Deutschland
Lieferung in 10 bis 13 Werktagen
 
Small Sample NFkB Reaktivität: Human Colorimetric Sandwich ELISA 0.156 ng/mL - 10 ng/mL Cell Culture Supernatant, Cell Lysate, Tissue Homogenate
Produktnummer ABIN7012769
975,33 €
Zzgl. Versandkosten 20,00 € und MwSt
96 tests (Weitere Mengeneinheiten)
Lieferung nach: Deutschland
Lieferung in 10 bis 13 Werktagen
 
Small Sample NFkB Reaktivität: Maus Colorimetric Sandwich ELISA 0.156 ng/mL - 10 ng/mL Cell Culture Supernatant, Cell Lysate, Tissue Homogenate
Produktnummer ABIN7012770
844,56 €
Zzgl. Versandkosten 20,00 € und MwSt
96 tests (Weitere Mengeneinheiten)
Lieferung nach: Deutschland
Lieferung in 10 bis 13 Werktagen
 
NFkB Reaktivität: Schwein Colorimetric Sandwich ELISA 31.25 pg/mL - 2000 pg/mL Cell Lysate, Plasma, Serum, Tissue Homogenate
Produktnummer ABIN6975447
697,92 €
Zzgl. Versandkosten 20,00 € und MwSt
96 tests (Weitere Mengeneinheiten)
Lieferung nach: Deutschland
Lieferung in 11 bis 15 Werktagen
 
NFkB Reaktivität: Human Colorimetric Sandwich ELISA 0.313 ng/mL - 20 ng/mL Plasma, Serum, Tissue Homogenate
Produktnummer ABIN6968979
508,85 €
Zzgl. Versandkosten 20,00 € und MwSt
96 tests
Lieferung nach: Deutschland
Lieferung in 11 bis 15 Werktagen
 
NFkB Reaktivität: Maus Colorimetric Sandwich ELISA 15.625 pg/mL - 1000 pg/mL Plasma, Serum, Tissue Homogenate
Produktnummer ABIN6968980
508,85 €
Zzgl. Versandkosten 20,00 € und MwSt
96 tests
Lieferung nach: Deutschland
Lieferung in 11 bis 15 Werktagen
 
NFkB Reaktivität: Ratte Colorimetric Sandwich ELISA 0.15 ng/mL - 10 ng/mL Plasma, Serum, Tissue Homogenate
Pubmed 1 reference
Produktnummer ABIN5523538
481,54 €
Zzgl. Versandkosten 20,00 € und MwSt
96 tests
Lieferung nach: Deutschland
Lieferung in 11 bis 15 Werktagen
 
NFkB Reaktivität: Kaninchen phosphorylated Colorimetric Sandwich ELISA 1.0-25 ng/mL Cell Culture Supernatant, Plasma, Serum, Tissue Homogenate
Pubmed 1 reference
Produktnummer ABIN775386
657,14 €
Zzgl. Versandkosten 20,00 € und MwSt
96 tests
Lieferung nach: Deutschland
Lieferung in 13 bis 17 Werktagen
 
NFkB Reaktivität: Maus Colorimetric Sandwich ELISA 15.625 pg/mL - 1000 pg/mL Plasma, Serum, Tissue Homogenate
Produktnummer ABIN5525930
481,54 €
Zzgl. Versandkosten 20,00 € und MwSt
96 tests
Lieferung nach: Deutschland
Lieferung in 11 bis 15 Werktagen
 
NFkB Reaktivität: Human Colorimetric Sandwich ELISA 0.313 ng/mL - 20 ng/mL Plasma, Serum, Tissue Homogenate
Produktnummer ABIN5523536
481,54 €
Zzgl. Versandkosten 20,00 € und MwSt
96 tests
Lieferung nach: Deutschland
Lieferung in 11 bis 15 Werktagen
 
NFkB Reaktivität: Human Colorimetric DNA-Binding ELISA Cell Extracts, Tissue Samples
Produktnummer ABIN2866266
1.816,92 €
Zzgl. Versandkosten 20,00 €, Trockeneispauschale 20,00 € sowie MwSt
2 x 96 tests
Lieferung nach: Deutschland
Lieferung in 2 bis 4 Werktagen
 
NFkB Reaktivität: Human phosphospecific Colorimetric Sandwich ELISA 1.0-25 ng/mL Cell Culture Supernatant, Plasma, Serum, Tissue Homogenate
Produktnummer ABIN510512
657,14 €
Zzgl. Versandkosten 20,00 € und MwSt
96 tests
Lieferung nach: Deutschland
Lieferung in 13 bis 17 Werktagen
 
NFkB Reaktivität: Human Colorimetric Sandwich ELISA 50-1000 ng/mL Cell Culture Supernatant, Plasma, Serum, Tissue Homogenate
Produktnummer ABIN510493
657,14 €
Zzgl. Versandkosten 20,00 € und MwSt
96 tests
Lieferung nach: Deutschland
Lieferung in 13 bis 17 Werktagen
 
NFkB Reaktivität: Ratte phosphospecific Colorimetric Sandwich ELISA 1.0-25 ng/mL Cell Culture Supernatant, Plasma, Serum, Tissue Homogenate
Produktnummer ABIN772199
657,14 €
Zzgl. Versandkosten 20,00 € und MwSt
96 tests
Lieferung nach: Deutschland
Lieferung in 13 bis 17 Werktagen
 
NFkB Reaktivität: Ratte Colorimetric Competition ELISA 10-250 ng/mL Cell Culture Supernatant, Plasma, Serum, Tissue Homogenate
Produktnummer ABIN511752
657,14 €
Zzgl. Versandkosten 20,00 € und MwSt
96 tests
Lieferung nach: Deutschland
Lieferung in 13 bis 17 Werktagen
 
  • Typ Kit
    • Kit
  • Anwendung ELISA
    • ELISA
    • Activity Assay (AcA)
    • Western Blotting (WB)
  • Reaktivität
    • Human
    • Mouse
    • Rat
    • Chicken
    • Pig
    • Rabbit
    • Cow
    • Dog
    • Goat
    • Guinea Pig
    • Monkey
    • Sheep
  • In Publikationen zitiert
  • Abbildungen verfügbar
  • Methodentyp
    • Sandwich ELISA
    • Competition ELISA
    • DNA-Binding ELISA
  • Analytische Methode
    • Quantitative
  • Detektionsmethode
    • Colorimetric
  • Platte
    • Pre-coated
    • Strips (12 x 8)
  • Bindungsspezifität
    • phosphospecific
    • phosphorylated
  • Konjugat
    • Unkonjugiert
  • Probe
    • Tissue Homogenate
    • Plasma
    • Serum
    • Cell Culture Supernatant
    • Cell Lysate
    • Cell Extracts
    • Tissue Samples
  • Grade
    • Small Sample
  • Hersteller
    • Blue Gene
    • antibodies-online
    • Wuhan Fine biotech
    • Active Motif

Aktuelle Publikationen für unsere NFkB ELISA Kits

Mousa, Allemailem, Alhumaydhi, Alrumaihi, Almatroudi, Aljasir, Alwashmi, Al Rugaie, Soliman, Aljohani, Al Abdulmonem, Ahmed, Khan, Khan, AlSuhaymi, Alsugoor, Al-Megrin, Elsayed: "Cytoprotective Antioxidant, Anti-Inflammatory, and Antifibrotic Impact of Celery Seed Oil and Manuka Honey Against Cyclophosphamide-Induced Cystitis in Rabbits." in: , Vol. 2022, pp. 2863023, (2022) (PubMed).

Su, Yu, Wang, Peng, Bai, Li, Li, Xia, Fu, Liu, Liu, Kang: "Na+/K+-ATPase Alpha 2 Isoform Elicits Rac1-Dependent Oxidative Stress and TLR4-Induced Inflammation in the Hypothalamic Paraventricular Nucleus in High Salt-Induced Hypertension." in: Antioxidants (Basel, Switzerland), Vol. 11, Issue 2, (2022) (PubMed).

Li, Yu, Wang, Xu, Han, Jiang, Ma, Li, Tian, Zhou, Li, Ye: "Anti-breast Cancer Activity of SPG-56 from Sweet Potato in MCF-7 Bearing Mice in Situ through Promoting Apoptosis and Inhibiting Metastasis." in: Scientific reports, Vol. 9, Issue 1, pp. 146, (2020) (PubMed).

Mahran: "New insights into the protection of growth hormone in cisplatin-induced nephrotoxicity: The impact of IGF-1 on the Keap1-Nrf2/HO-1 signaling." in: Life sciences, Vol. 253, pp. 117581, (2020) (PubMed).

Madi, Choucry, El-Marasy, Meselhy, El-Kashoury: "UPLC-Orbitrap HRMS metabolic profiling of Cymbopogon citratus cultivated in Egypt; neuroprotective effect against AlCl3-induced neurotoxicity in rats." in: Journal of ethnopharmacology, Vol. 259, pp. 112930, (2020) (PubMed).

Lv, Li, Hu, Wang, Wu, Li et al.: "The shear wave elastic modulus and the increased nuclear factor kappa B (NF-kB/p65) and cyclooxygenase-2 (COX-2) expression in the area of myofascial trigger points activated in a rat model by blunt ..." in: Journal of biomechanics, Vol. 66, pp. 44-50, (2019) (PubMed).

Jana, Maity, Perveen, Dash, Jana, Dey, De, Chattopadhyay et al.: "Attenuation of utero-toxicity, metabolic dysfunction and inflammation by soy protein concentrate in rats exposed to fluoridated water: consequence of hyperlipidemia in parallel with ..." in: Environmental science and pollution research international, Vol. 25, Issue 36, pp. 36462-36473, (2019) (PubMed).

Zaafan, Haridy, Abdelhamid: "Amitriptyline attenuates bleomycin-induced pulmonary fibrosis: modulation of the expression of NF-κβ, iNOS, and Nrf2." in: Naunyn-Schmiedeberg's archives of pharmacology, Vol. 392, Issue 3, pp. 279-286, (2019) (PubMed).

Nahm, Nahm, Han, Gil, Choi, Lee: "Increased cerebral nuclear factor kappa B in a complex regional pain syndrome rat model: possible relationship between peripheral injury and the brain." in: Journal of pain research, Vol. 12, pp. 909-914, (2019) (PubMed).

Maulik, Mitra, Sweeney, Lu, Taylor, Bult-Ito: "Complex interaction of dietary fat and Alaskan bog blueberry supplementation influences manganese mediated neurotoxicity and behavioral impairments." in: Journal of functional foods, Vol. 53, pp. 306-317, (2019) (PubMed).

Aliase für NFkB ELISA Kits

nuclear factor kappa B subunit 1 (NFKB1) ELISA Kits
nuclear factor kappa B subunit 1 (Nfkb1) ELISA Kits
nuclear factor of kappa light polypeptide gene enhancer in B cells 1, p105 (Nfkb1) ELISA Kits
EBP-1 ELISA Kits
KBF1 ELISA Kits
NF-kappa-B ELISA Kits
NF-kappaB ELISA Kits
NF-kappaB1 ELISA Kits
NF-kB ELISA Kits
NF-kB1 ELISA Kits
NF-KB1 ELISA Kits
NFkappaB ELISA Kits
NFKB-p50 ELISA Kits
NFKB-p105 ELISA Kits
p50 ELISA Kits
p50/p105 ELISA Kits
p105 ELISA Kits
Sie sind hier:
Chat with us!