Telefon:
+49 (0)241 95 163 153
Fax:
+49 (0)241 95 163 155
E-Mail:
orders@antikoerper-online.de

IL-3 Protein (His tag)

Recombinant IL-3-Protein exprimiert in Escherichia coli (E. coli).
Produktnummer ABIN7455672
764,62 €
Zzgl. Versandkosten 20,00 € und MwSt
50 μg
Lieferung nach: Deutschland
Lieferung in 10 bis 13 Werktagen

Kurzübersicht für IL-3 Protein (His tag) (ABIN7455672)

Target

Alle IL-3 Proteine anzeigen
IL-3 (Interleukin 3 (IL-3))

Protein-Typ

Recombinant

Spezies

  • 23
  • 18
  • 6
  • 4
  • 2
  • 2
  • 1
  • 1
  • 1
  • 1
  • 1
  • 1
Human

Quelle

  • 32
  • 7
  • 6
  • 3
  • 3
  • 2
  • 2
  • 1
  • 1
  • 1
  • 1
Escherichia coli (E. coli)

Applikation

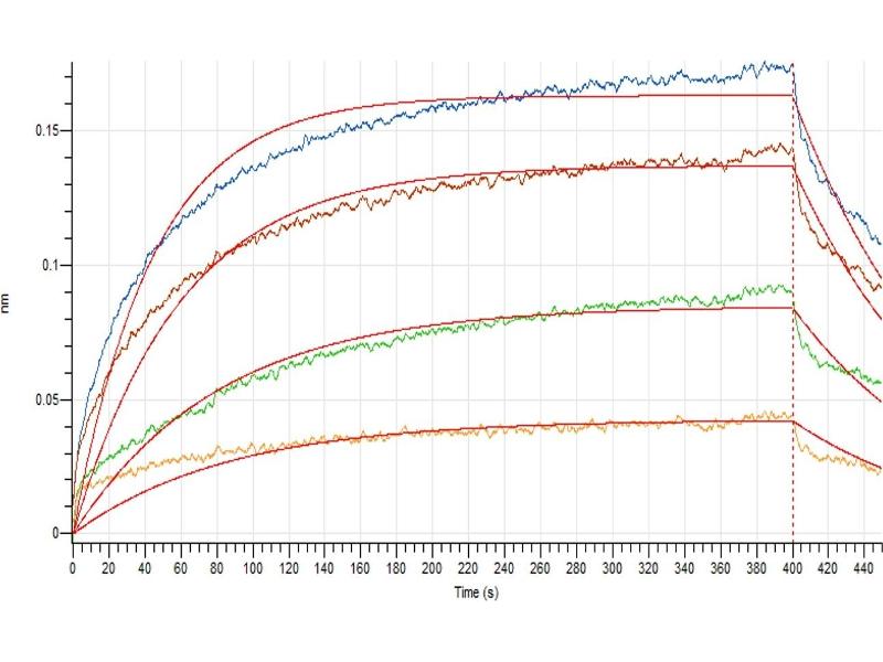
Affinity Measurement (AM), Antibody Drug Assay (ADA), Immunoassay (IA), Screening Assay (ScA)

Reinheit

Greater than 95 % as determined by reducing SDS-PAGE.
  • Aufreinigungstag / Konjugat

    Dieses IL-3 Protein ist gelabelt mit His tag.

    Verwendungszweck

    Recombinant Human Interleukin-3 is produced by our E.coli expression system and the target gene encoding Ala20-Phe152 is expressed with a 6His tag at the N-terminus.

    Produktmerkmale

    Extracellular Domain Protein

    Aufreinigung

    Affinity purification
  • Möchten Sie weitere Optionen für dieses Protein ?

    !
    Entdecken Sie unsere vordefinierten maßgeschneiderten Proteine und Proteinservices!

    Ihr Projekt erfordert weitere Anpassungen? Kontaktieren Sie uns und entdecken Sie unsere maßgeschneiderten Proteinlösungen

  • Applikationshinweise

    Extracellular Domain Proteins (ECD) can be used as:
    • Immunogens for antibody drug development
    • Reagents used for CAR-T positive cell monitoring
    • Reagents for antibody screening and functional testing
    • Reagents for antibody affinity measurement

    Beschränkungen

    Nur für Forschungszwecke einsetzbar
  • Format

    Lyophilized

    Buffer

    Lyophilized from a 0.2 μm filtered solution of PBS, pH 7.4.

    Lagerung

    -20 °C,-80 °C

    Informationen zur Lagerung

    Store at -20°C to -80°C for 12 months in lyophilized form. After reconstitution, if not intended for use within a month, aliquot and store at -80°C (Avoid repeated freezing and thawing). Lyophilized proteins are shipped at ambient temperature.

    Haltbarkeit

    12 months
  • Target

    IL-3 (Interleukin 3 (IL-3))

    Andere Bezeichnung

    IL-3

    Hintergrund

    Interleukin-3,IL-3,Hematopoietic Growth Factor,Mast Cell Growth Factor,MCGF,Multipotential Colony-Stimulating Factor,P-Cell-Stimulating Factor,IL3
    Interleukin-3 (IL-3) is a potent growth promoting cytokine. IL-3 can stimulate the proliferation and differentiation of pluripotent hematopoietic stem cells as well as various lineage committed progenitors. IL-3 exerts its biological function through binding to specific cell surface receptors. The amino acid sequences of this protein among different species share relatively low identity and its activity is highly species-specific. IL-3 has also been shown to possess neurotrophic activity, and is thought to be associated with neurologic disorders.

    Molekulargewicht

    16.6 KDa

    UniProt

    P08700

    Pathways

    JAK-STAT Signalweg, Regulation of Carbohydrate Metabolic Process, Autophagie
Sie sind hier:
Chat with us!