Telefon:
+49 (0)241 95 163 153
Fax:
+49 (0)241 95 163 155
E-Mail:
orders@antikoerper-online.de

SQSTM1 ELISA Kit

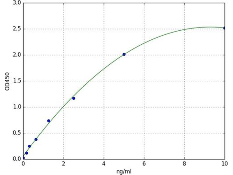
Dieses Colorimetric ELISA kit dient der quantitativen Messung von Human SQSTM1.
Produktnummer ABIN5696409
481,54 €
Zzgl. Versandkosten 20,00 € und MwSt
96 tests
Lieferung nach: Deutschland
Lieferung in 11 bis 15 Werktagen

Kurzübersicht für SQSTM1 ELISA Kit (ABIN5696409)

Target

Alle SQSTM1 ELISA Kits anzeigen
SQSTM1 (Sequestosome 1 (SQSTM1))

Reaktivität

  • 3
  • 2
  • 1
Human

Nachweismethode

Colorimetric

Methodentyp

Sandwich ELISA

Detektionsbereich

0.15 ng/mL - 10 ng/mL

Applikation

ELISA
  • Untere Nachweisgrenze

    0.15 ng/mL

    Analytische Methode

    Quantitative

    Sensitivität

    0094 ng/mL
  • Applikationshinweise

    Optimal working dilution should be determined by the investigator.

    Kommentare

    Sandwich ELISA, Double Antibody

    Plattentyp

    Pre-coated

    Beschränkungen

    Nur für Forschungszwecke einsetzbar
  • Lagerung

    4 °C

    Haltbarkeit

    6 months
  • Target Alle SQSTM1 ELISA Kits anzeigen

    SQSTM1 (Sequestosome 1 (SQSTM1))

    Andere Bezeichnung

    Sequestosome-1

    Pathways

    NF-kappaB Signalweg, Neurotrophin Signalübertragung, Autophagie
Sie sind hier:
Chat with us!