Telefon:
+49 (0)241 95 163 153
Fax:
+49 (0)241 95 163 155
E-Mail:
orders@antikoerper-online.de

Caspase 3 ELISA Kit

Dieses Colorimetric ELISA kit dient der quantitativen Messung von Ratte Caspase 3.
Produktnummer ABIN5524450
481,54 €
Zzgl. Versandkosten 20,00 € und MwSt
96 tests
Lieferung nach: Deutschland
Lieferung in 11 bis 15 Werktagen

Kurzübersicht für Caspase 3 ELISA Kit (ABIN5524450)

Target

Alle Caspase 3 (CASP3) ELISA Kits anzeigen
Caspase 3 (CASP3)

Reaktivität

  • 20
  • 12
  • 9
  • 4
  • 3
  • 3
  • 2
  • 2
  • 1
  • 1
  • 1
  • 1
Ratte

Nachweismethode

Colorimetric

Methodentyp

Sandwich ELISA

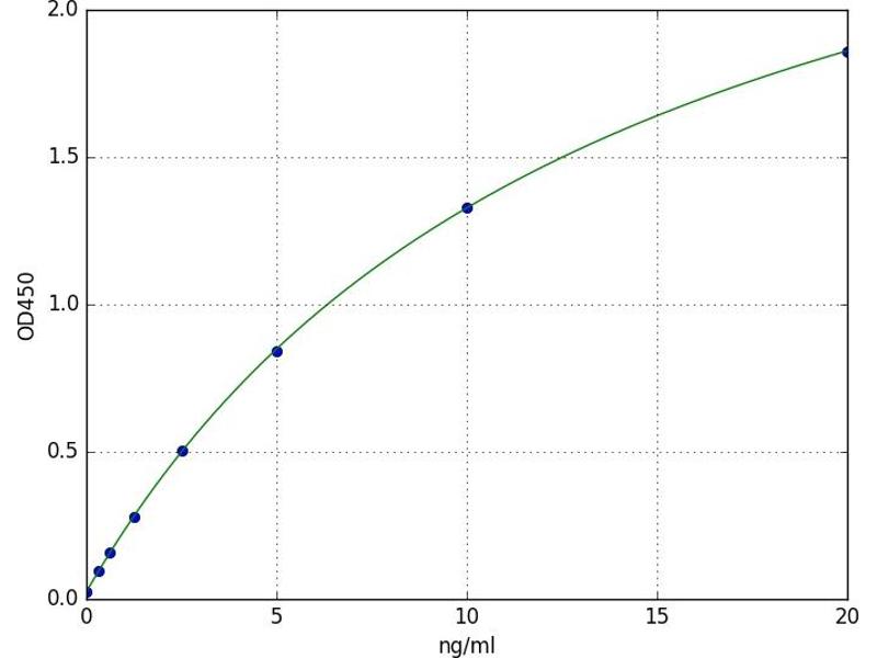
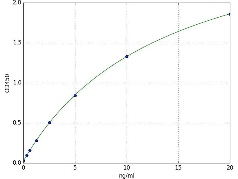
Detektionsbereich

0.31 ng/mL - 20 ng/mL

Applikation

ELISA

Proben

Plasma, Serum, Tissue Homogenate
  • Untere Nachweisgrenze

    0.31 ng/mL

    Verwendungszweck

    For quantitative detection in serum, plasma, tissue homogenates and other biological fluids.

    Analytische Methode

    Quantitative

    Spezifität

    Casp3/CASP3/CPP32/CPP32B/SCA-1/Apoptain/Yama/Apopain/LICE-1/YAMA/Apopain/apoptosis-related cysteine protease/CASP-3/caspase 3, apoptosis-related cysteine peptidase/caspase-3/CPP-32/CPP32/SREBP cleavage activity 1/Cysteine protease CPP32/PARP cleavage prot

    Sensitivität

    0.188 ng/mL

    Bestandteile

    - ELISA Microplate
    - Lyophilized Standard
    - Sample / Standard Dilution Buffer
    - Biotin-labeled Antibody (Concentrated)
    - Antibody Dilution Buffer
    - HRP-Streptavidin Conjugate(SABC)
    - SABC Dilution Buffer
    - TMB Substrate
    - Stop Solution
    - Wash Buffer (25X)
    - Plate Sealer
    - Product Description
  • Applikationshinweise

    Optimal working dilution should be determined by the investigator.

    Kommentare

    Sandwich ELISA, Double Antibody

    Probenmenge

    100 μL

    Plattentyp

    Pre-coated

    Beschränkungen

    Nur für Forschungszwecke einsetzbar
  • Lagerung

    4 °C

    Informationen zur Lagerung

    4 °C for 6 months

    Haltbarkeit

    6 months
  • Target Alle Caspase 3 (CASP3) ELISA Kits anzeigen

    Caspase 3 (CASP3)

    Andere Bezeichnung

    Casp3

    Hintergrund

    Casp3/CASP3/CPP32/CPP32B/SCA-1/Apoptain/Yama/Apopain/LICE-1/YAMA/Apopain/apoptosis-related cysteine protease/CASP-3/caspase 3, apoptosis-related cysteine peptidase/caspase-3/CPP-32/CPP32/SREBP cleavage activity 1/Cysteine protease CPP32/PARP cleavage prot

    UniProt

    P55213

    Pathways

    Apoptose, Caspase Kaskade in der Apoptose, Sensory Perception of Sound, ER-Nucleus Signaling, Positive Regulation of Endopeptidase Activity, Activated T Cell Proliferation
Sie sind hier:
Chat with us!