Telefon:
+49 (0)241 95 163 153
Fax:
+49 (0)241 95 163 155
E-Mail:
orders@antikoerper-online.de

Caspase 3 ELISA Kit

Human Caspase 3 ELISA Kit, Colorimetric Assay für die Quantifizierung von Human Caspase 3.
Produktnummer ABIN5524446
481,54 €
Zzgl. Versandkosten 20,00 € und MwSt
96 tests
Lieferung nach: Deutschland
Lieferung in 11 bis 15 Werktagen

Kurzübersicht für Caspase 3 ELISA Kit (ABIN5524446)

Target

Alle Caspase 3 (CASP3) ELISA Kits anzeigen
Caspase 3 (CASP3)

Reaktivität

  • 18
  • 13
  • 9
  • 4
  • 4
  • 3
  • 2
  • 2
  • 1
  • 1
  • 1
  • 1
Human

Nachweismethode

Colorimetric

Methodentyp

Sandwich ELISA

Detektionsbereich

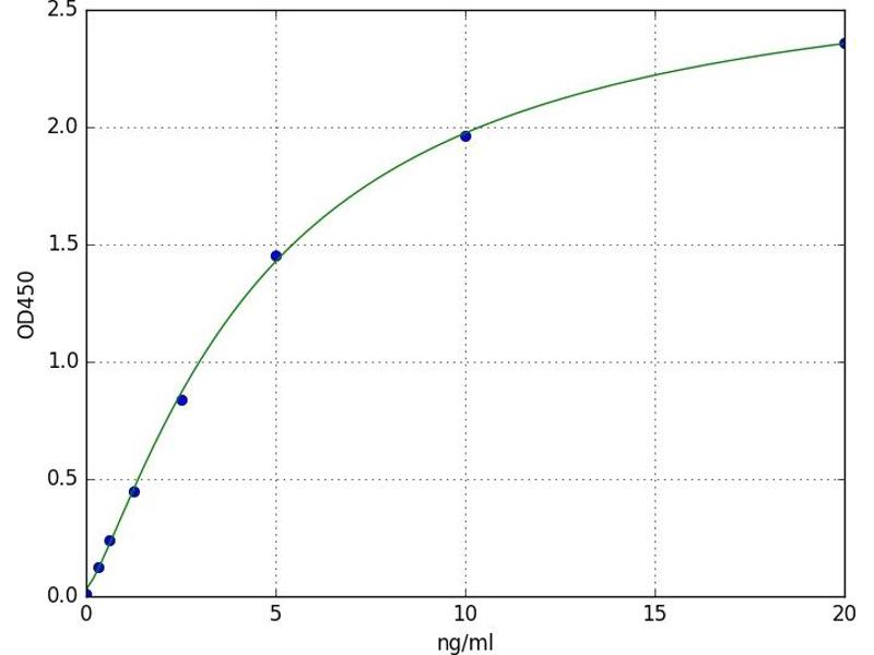
31.25 pg/mL - 2000 pg/mL

Applikation

ELISA

Proben

Plasma, Serum, Tissue Homogenate
  • Untere Nachweisgrenze

    31.25 pg/mL

    Verwendungszweck

    For quantitative detection of CASP3 in serum, plasma, tissue homogenates.

    Analytische Methode

    Quantitative

    Spezifität

    This assay has high sensitivity and excellent specificity for detection of CASP3. No significant cross-reactivity or interference between CASP3 and analogues was observed. Note: Limited by current skills and knowledge, it is difficult for us to complete the cross-reactivity detection between CASP3 and all the analogues, therefore, cross reaction may still exist.

    Sensitivität

    18.75 pg/mL

    Bestandteile

    - ELISA Microplate
    - Lyophilized Standard
    - Sample / Standard Dilution Buffer
    - Biotin-labeled Antibody (Concentrated)
    - Antibody Dilution Buffer
    - HRP-Streptavidin Conjugate(SABC)
    - SABC Dilution Buffer
    - TMB Substrate
    - Stop Solution
    - Wash Buffer (25X)
    - Plate Sealer
    - Product Description
  • Applikationshinweise

    Optimal working dilution should be determined by the investigator.

    Kommentare

    Sandwich ELISA, Double Antibody

    Probenmenge

    100 μL

    Plattentyp

    Pre-coated

    Beschränkungen

    Nur für Forschungszwecke einsetzbar
  • Lagerung

    4 °C

    Informationen zur Lagerung

    1. For unopened kit: All the reagents should be kept according to the labels on vials. The Reference Standard and the 96-well stripe plate should be stored at -20 °C upon receipt while the other reagents should be stored at 4 °C.
    2. For used kit: When the kit is used, the remaining reagents need to be stored according to the above storage condition. Besides, please return the unused wells to the foil pouch containing the desiccant pack, and zip-seal the foil pouch.

    Haltbarkeit

    6 months
  • Target Alle Caspase 3 (CASP3) ELISA Kits anzeigen

    Caspase 3 (CASP3)

    Andere Bezeichnung

    CASP3

    Hintergrund

    CASP3/CPP32/CPP32B/SCA-1/Apoptain/Yama/Apopain/LICE-1/YAMA/Apopain/apoptosis-related cysteine protease/CASP-3/caspase 3, apoptosis-related cysteine peptidase/caspase-3/CPP-32/CPP32/SREBP cleavage activity 1/Cysteine protease CPP32/PARP cleavage protease/p

    UniProt

    P42574

    Pathways

    Apoptose, Caspase Kaskade in der Apoptose, Sensory Perception of Sound, ER-Nucleus Signaling, Positive Regulation of Endopeptidase Activity, Activated T Cell Proliferation
Sie sind hier:
Chat with us!