Telefon:
+49 (0)241 95 163 153
Fax:
+49 (0)241 95 163 155
E-Mail:
orders@antikoerper-online.de

AMPK alpha ELISA Kit

Das Ratte AMPK alpha ELISA Kit (ABIN5522801) ist ein Colorimetric ELISA Kit zur Detektion von Ratte AMPK alpha.
Produktnummer ABIN5522801
481,54 €
Zzgl. Versandkosten 20,00 € und MwSt
96 tests
Lieferung nach: Deutschland
Lieferung in 11 bis 15 Werktagen

Kurzübersicht für AMPK alpha ELISA Kit (ABIN5522801)

Target

Alle AMPK alpha (SNF1A) ELISA Kits anzeigen
AMPK alpha (SNF1A) (SNF1A/AMP-Activated Protein Kinase (SNF1A))

Reaktivität

  • 4
  • 3
  • 3
Ratte

Nachweismethode

Colorimetric

Methodentyp

Sandwich ELISA

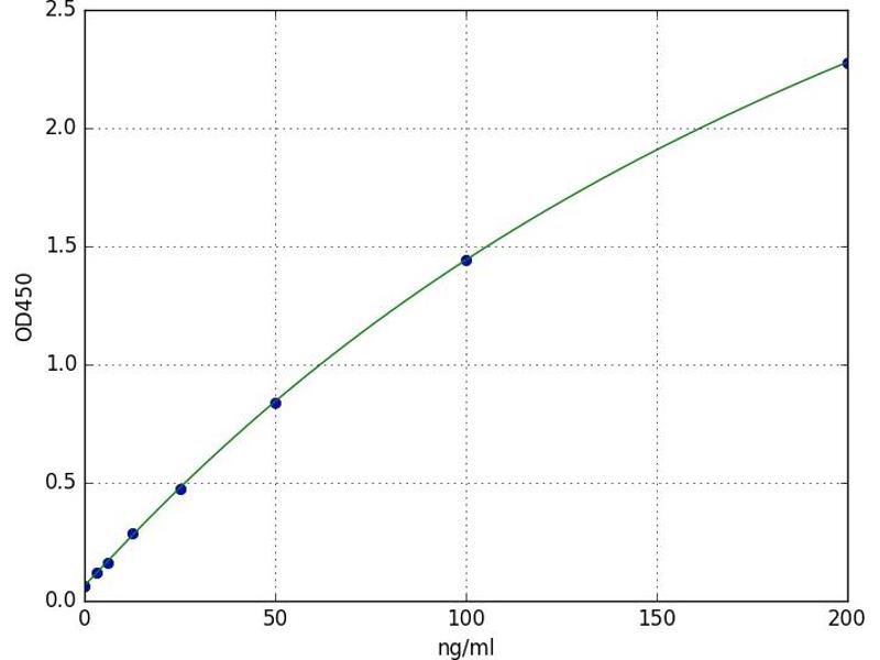
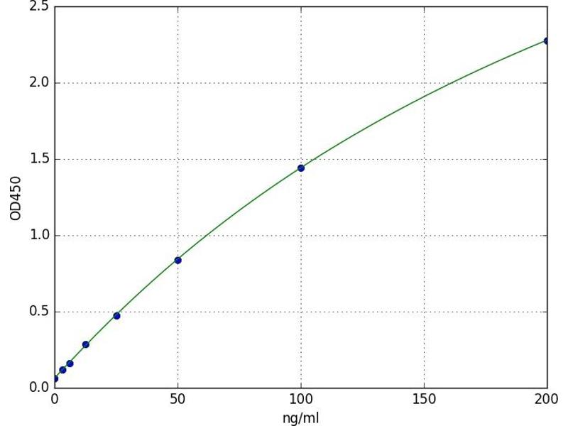
Detektionsbereich

3.12 ng/mL - 200 ng/mL

Applikation

ELISA

Proben

Plasma, Serum, Tissue Homogenate
  • Untere Nachweisgrenze

    3.12 ng/mL

    Verwendungszweck

    For quantitative detection in serum, plasma, tissue homogenates and other biological fluids.

    Analytische Methode

    Quantitative

    Spezifität

    AMPK

    Sensitivität

    1.875 ng/mL

    Bestandteile

    - ELISA Microplate
    - Lyophilized Standard
    - Sample / Standard Dilution Buffer
    - Biotin-labeled Antibody (Concentrated)
    - Antibody Dilution Buffer
    - HRP-Streptavidin Conjugate(SABC)
    - SABC Dilution Buffer
    - TMB Substrate
    - Stop Solution
    - Wash Buffer (25X)
    - Plate Sealer
    - Product Description
  • Applikationshinweise

    Optimal working dilution should be determined by the investigator.

    Kommentare

    Sandwich ELISA, Double Antibody

    Probenmenge

    100 μL

    Plattentyp

    Pre-coated

    Beschränkungen

    Nur für Forschungszwecke einsetzbar
  • Lagerung

    4 °C

    Informationen zur Lagerung

    4 °C for 6 months

    Haltbarkeit

    6 months
  • Target Alle AMPK alpha (SNF1A) ELISA Kits anzeigen

    AMPK alpha (SNF1A) (SNF1A/AMP-Activated Protein Kinase (SNF1A))

    Andere Bezeichnung

    AMPK

    Hintergrund

    AMPK

    UniProt

    Q09137

    Pathways

    Warburg Effekt
Sie sind hier:
Chat with us!