Telefon:
+49 (0)241 95 163 153
Fax:
+49 (0)241 95 163 155
E-Mail:
orders@antikoerper-online.de

SIRT1 ELISA Kit

Dieses Colorimetric ELISA kit dient der quantitativen Messung von Ratte SIRT1.
Produktnummer ABIN5522221
481,54 €
Zzgl. Versandkosten 20,00 € und MwSt
96 tests
Lieferung nach: Deutschland
Lieferung in 11 bis 15 Werktagen

Kurzübersicht für SIRT1 ELISA Kit (ABIN5522221)

Target

Alle SIRT1 ELISA Kits anzeigen
SIRT1 (Sirtuin 1 (SIRT1))

Reaktivität

  • 8
  • 4
  • 2
Ratte

Nachweismethode

Colorimetric

Methodentyp

Sandwich ELISA

Detektionsbereich

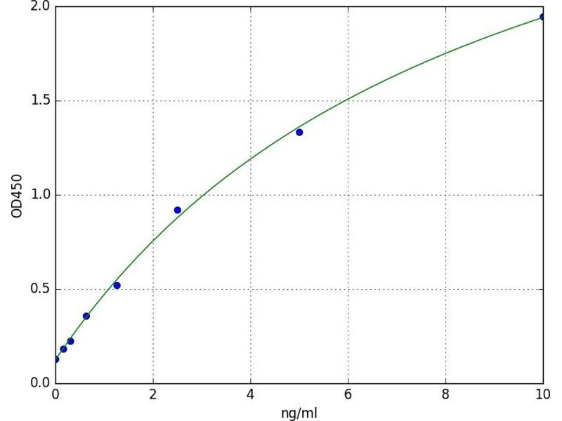
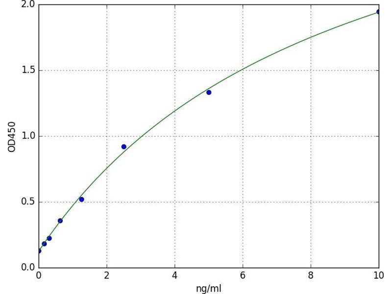
0.15 ng/mL - 10 ng/mL

Applikation

ELISA

Proben

Plasma, Serum, Tissue Homogenate
  • Untere Nachweisgrenze

    0.15 ng/mL

    Verwendungszweck

    For quantitative detection in serum, plasma, tissue homogenates and other biological fluids.

    Analytische Methode

    Quantitative

    Spezifität

    SIRT1/SIR2alpha/SIR2L1/SIR2-like protein 1/EC 3.5.1/S. cerevisiae, homolog) 1/sirtuin 1

    Sensitivität

    0.094 ng/mL

    Bestandteile

    - ELISA Microplate
    - Lyophilized Standard
    - Sample / Standard Dilution Buffer
    - Biotin-labeled Antibody (Concentrated)
    - Antibody Dilution Buffer
    - HRP-Streptavidin Conjugate(SABC)
    - SABC Dilution Buffer
    - TMB Substrate
    - Stop Solution
    - Wash Buffer (25X)
    - Plate Sealer
    - Product Description
  • Applikationshinweise

    Optimal working dilution should be determined by the investigator.

    Kommentare

    Sandwich ELISA, Double Antibody

    Probenmenge

    100 μL

    Plattentyp

    Pre-coated

    Beschränkungen

    Nur für Forschungszwecke einsetzbar
  • Lagerung

    4 °C

    Informationen zur Lagerung

    4 °C for 6 months

    Haltbarkeit

    6 months
  • Target Alle SIRT1 ELISA Kits anzeigen

    SIRT1 (Sirtuin 1 (SIRT1))

    Andere Bezeichnung

    SIRT1

    Hintergrund

    SIRT1/SIR2alpha/SIR2L1/SIR2-like protein 1/EC 3.5.1/S. cerevisiae, homolog) 1/sirtuin 1

    UniProt

    A0A0G2JZ79

    Pathways

    MAPK Signalweg, Intracellular Steroid Hormone Receptor Signaling Pathway, Regulation of Intracellular Steroid Hormone Receptor Signaling, Carbohydrate Homeostasis, Positive Regulation of Endopeptidase Activity, Regulation of Carbohydrate Metabolic Process, Positive Regulation of Response to DNA Damage Stimulus, Negative Regulation of intrinsic apoptotic Signaling
Sie sind hier:
Chat with us!