Telefon:
+49 (0)241 95 163 153
Fax:
+49 (0)241 95 163 155
E-Mail:
orders@antikoerper-online.de

IgG2a Fc (AA 98-330) (Active) Protein

Dieses Recombinant IgG2a Fc-Protein wird in HEK-293 Cells exprimiert.
Produktnummer ABIN7274869
141,52 €
Zzgl. Versandkosten 20,00 € und MwSt
Lieferung nach: Deutschland
Lieferung in 15 bis 19 Werktagen

Kurzübersicht für IgG2a Fc (AA 98-330) (Active) Protein (ABIN7274869)

Target

IgG2a Fc

Protein-Typ

Recombinant

Biologische Aktivität

Active

Spezies

Maus

Quelle

  • 2
HEK-293 Cells

Reinheit

> 95 % as determined by Bis-Tris PAGE,> 95 % as determined by HPLC
  • Proteineigenschaft

    AA 98-330

    Verwendungszweck

    Mouse IgG2a Fc Protein

    Sequenz

    Glu98-Lys330

    Produktmerkmale

    Recombinant Mouse IgG2a Fc Protein is expressed from HEK293 without tag.It contains Glu98-Lys330.

    Sterilität

    0.22 μm filtered

    Endotoxin-Niveau

    Less than 1 EU per μg by the LAL method.

    Biological Activity Comment

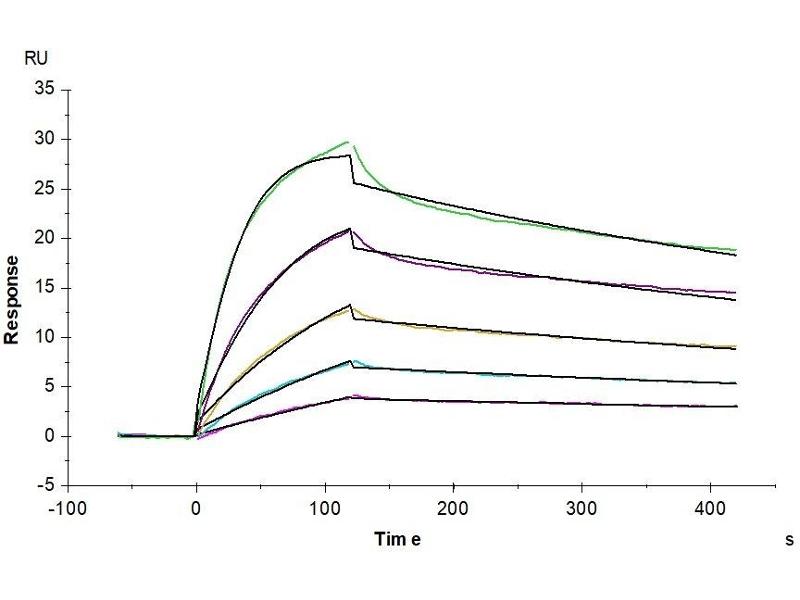
    Mouse FcRn, His Tag captured on CM5 Chip via Anti-His Antibody can bind Mouse IgG2a Fc, No Tag with an affinity constant of 2.72 nM as determined in SPR assay (Biacore T200).,Mouse IgG2a Fc on Bis-Tris PAGE under reduced condition. The purity is greater than 95%.,The purity of Mouse IgG2a Fc is greater than 95% as determined by SEC-HPLC.
  • Möchten Sie weitere Optionen für dieses Protein ?

    !
    Entdecken Sie unsere vordefinierten maßgeschneiderten Proteine und Proteinservices!

    Ihr Projekt erfordert weitere Anpassungen? Kontaktieren Sie uns und entdecken Sie unsere maßgeschneiderten Proteinlösungen

  • Beschränkungen

    Nur für Forschungszwecke einsetzbar
  • Format

    Lyophilized

    Rekonstitution

    Dissolve the lyophilized protein in distilled water. It is recommended to resuspend at 0.5 mg/mL if the lyophilized powder is 100 μg or less, at 1 mg/mL for 500 μg or 1 mg lyophilized powder. Do not mix by vortex or vigorous shaking.

    Buffer

    Lyophilized from 0.22μm filtered solution in PBS ( pH 7.4). Normally 8 % trehalose is added as protectant before lyophilization.

    Lagerung

    -20 °C,-80 °C

    Informationen zur Lagerung

    -20 to -80°C for 12 months as supplied from date of receipt.,-80°C for 3 months after reconstitution.,Recommend to aliquot the protein into smaller quantities for optimal storage. Please minimize freeze-thaw cycles.

    Haltbarkeit

    12 months
  • Target

    IgG2a Fc

    Hintergrund

    Mouse IgG2a is one of the subtypes of murine immunoglobulin IgG which mediates immune responses to carbohydrate or polysaccharide antigens. The Fc region of IgG2a can bind to FcRn to prolong its half-life.

    Molekulargewicht

    26.38 kDa. Due to glycosylation, the protein migrates to 33-38 kDa based on Bis-Tris PAGE result.

    UniProt

    P01863
Sie sind hier:
Chat with us!