Telefon:
+49 (0)241 95 163 153
Fax:
+49 (0)241 95 163 155
E-Mail:
orders@antikoerper-online.de

ErbB2/Her2 ELISA Kit

Human ErbB2/Her2 ELISA Kit, Colorimetric Assay für die Quantifizierung von Human ErbB2/Her2.
Produktnummer ABIN579058
686,71 €
Zzgl. Versandkosten 20,00 € und MwSt
96 tests
Lieferung nach: Deutschland
Lieferung in 13 bis 17 Werktagen

Kurzübersicht für ErbB2/Her2 ELISA Kit (ABIN579058)

Target

Alle ErbB2/Her2 ELISA Kits anzeigen
ErbB2/Her2 (Receptor tyrosine-protein kinase erbB-2 (ErbB2/Her2))

Bindungsspezifität

Soluble

Reaktivität

  • 21
  • 10
  • 9
  • 1
  • 1
Human

Nachweismethode

Colorimetric

Methodentyp

Sandwich ELISA

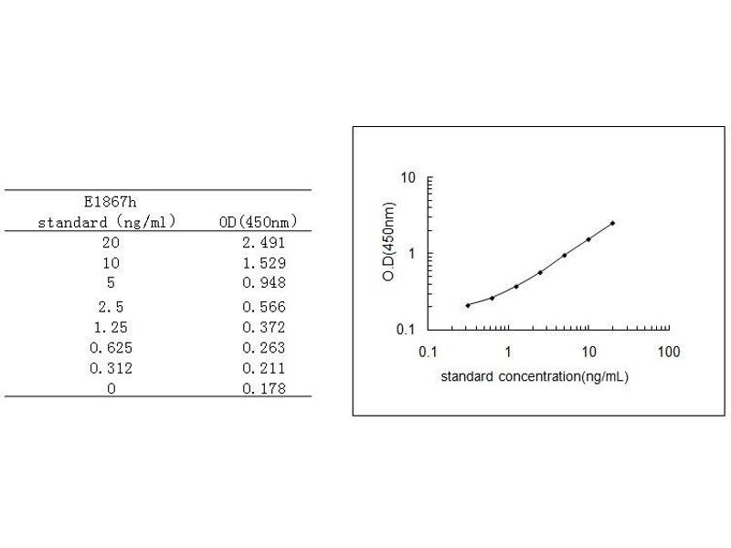
Detektionsbereich

0.312-20 ng/mL

Applikation

ELISA

Proben

Cell Culture Supernatant, Plasma, Serum
  • Untere Nachweisgrenze

    0.312 ng/mL

    Verwendungszweck

    This immunoassay kit allows for the use in vitro quantitative determination of human soluble protein 185, sp185/HER-2 concentrations in cell culture supernates, serum, plasma and other biological fluids.

    Analytische Methode

    Quantitative

    Spezifität

    This assay recognizes recombinant and natural human sp185/HER-2.

    Kreuzreaktivität (Details)

    No significant cross-reactivity or interference was observed.

    Produktmerkmale

    Homo sapiens,Human,Receptor tyrosine-protein kinase erbB-2,Metastatic lymph node gene 19 protein,MLN 19,Proto-oncogene Neu,Proto-oncogene c-ErbB-2,Tyrosine kinase-type cell surface receptor HER2,

    Bestandteile

    Reagent (Quantity):
    • Assay plate (1),
    • Standard (2),
    • Sample Diluent (1×20 mL),
    • Assay Diluent A (1×10 mL),
    • Assay Diluent B (1×10 mL),
    • Detection Reagent A (1×120 μL),
    • Detection Reagent B (1×120 μL),
    • Wash Buffer(25 x concentrate) (1×30 mL),
    • Substrate (1×10 mL),
    • 2 Stop Solution (1×10 mL),
    • Plate sealer for 96 wells (5),
    • Instruction (1)

    Benötigtes Material

    Microplate reader. Pipettes and pipette tips. EP tube Deionized or distilled water.
  • Probenmenge

    100 μL

    Plattentyp

    Pre-coated

    Protokoll

    The microtiter plate provided in this kit has been pre-coated with an antibody specific to sp185/HER-2. Standards or samples are then added to the appropriate microtiter plate wells with a biotin-conjugated polyclonal antibody preparation specific for sp185/HER-2 and Avidin conjugated to Horseradish Peroxidase (HRP) is added to each microplate well and incubated. Then a TMB (3,3'5, 5' tetramethyl-benzidine) substrate solution is added to each well. Only those wells that contain sp185/HER-2, biotin-conjugated antibody and enzyme-conjugated Avidin will exhibit a change in color. The enzyme-substrate reaction is terminated by the addition of a sulphuric acid solution and the color change is measured spectrophotometrically at a wavelength of 450 nm ± 2 nm. The concentration of sp185/HER-2 in the samples is then determined by comparing the O.D. of the samples to the standard curve.

    Aufbereitung der Reagenzien

    Bring all reagents to room temperature before use. Wash Buffer - If crystals have formed in the concentrate, warm to room temperature and mix gently until the crystals have completely dissolved. Dilute 30 mL of Wash Buffer Concentrate into deionized or distilled water to prepare 750 mL of Wash Buffer. Standard - Reconstitute the Standard with 1.0 mL of Sample Diluent. This reconstitution produces a stock solution. Allow the standard to sit for a minimum of 15 minutes with gentle agitation prior to making serial dilutions (Making serial dilution in the wells directly is not permitted). The undiluted standard serves as the high standard. The Sample Diluent serves as the zero standard (0 ng/ml).

    Probennahme

    Serum - Use a serum separator tube (SST) and allow samples to clot for 30 minutes before centrifugation for 15 minutes at approximately 1000 x g. Remove serum and assay immediately or aliquot and store samples at -20 °C or -80 °C. Plasma - Collect plasma using EDTA or heparin as an anticoagulant. Centrifuge samples for 15 minutes at 1000 x g at 2 - 8 °C within 30 minutes of collection. Store samples at -20 °C or -80 °C. Avoid repeated freeze-thaw cycles. Cell culture supernates and other biological fluids - Remove particulates by centrifugation and assay immediately or aliquot and store samples at -20 °C or -80 °C. Avoid repeated freeze-thaw cycles. Note: Serum, plasma, and cell culture supernatant samples to be used within 7 days may be stored at 2-8 °C, otherwise samples must stored at -20 °C (≤ 3 months) or -80 °C (≤ 6 months) to avoid loss of bioactivity and contamination. Avoid freeze-thaw cycles. When performing the assay slowly bring samples to room temperature. It is recommended that all samples be assayed in duplicate.

    Testdurchführung

    Allow all reagents to reach room temperature (Please do not dissolve the reagents at 37 °C directly.). All the reagents should be mixed thoroughly by gently swirling before pipetting. Avoid foaming. Keep appropriate numbers of strips for 1 experiment and remove extra strips from microtiter plate. Removed strips should be resealed and stored at 4 °C until the kits expiry date. Prepare all reagents, working standards and samples as directed in the previous sections. Please predict the concentration before assaying. If values for these are not within the range of the standard curve, users must determine the optimal sample dilutions for their particular experiments.
    1. Add 100 μL of Standard, Blank, or Sample per well. Cover with the Plate sealer. Incubate for 2 hours at 37 °C .
    2. Remove the liquid of each well, don ’ t wash.
    3. Add 100 μL of Detection Reagent A working solution to each well. Cover with the Plate sealer. Incubate for 1 hour at 37 °C . Detection Reagent A working solution may appear cloudy. Warm to room temperature and mix gently until solution appears uniform.
    4. Aspirate each well and wash, repeating the process three times for a total of three washes. Wash by filling each well with Wash Buffer (approximately 400 μL) using a squirt bottle, multi-channel pipette, manifold dispenser or autowasher. Complete removal of liquid at each step is essential to good performance. After the last wash, remove any remaining Wash Buffer by aspirating or decanting. Invert the plate and blot it against clean paper towels.
    5. Add 100 μL of Detection Reagent B working solution to each well. Cover with a new Plate sealer. Incubate for 1 hours at 37 °C .
    6. Repeat the aspiration/wash as in step 4.
    7. Add 90 μL of Substrate Solution to each well. Cover with a new Plate sealer. Incubate within 30 minutes at 37 °C . Protect from light.
    8. Add 50 μL of Stop Solution to each well. If color change does not appear uniform, gently tap the plate to ensure thorough mixing.
    9. Determine the optical density of each well at once, using a microplate reader set to 450 nm.
    Important Note:
    1. Absorbance is a function of the incubation time. Therefore, prior to starting the assay it is recommended that all reagents should be freshly prepared prior to use and all required strip-wells are secured in the microtiter frame. This will ensure equal elapsed time for each pipetting step, without interruption.
    2. Please carefully reconstitute Standards or working Detection Reagent A and B according to the instruction, and avoid foaming and mix gently until the crystals have completely dissolved. The reconstituted Standards can be used only once. This assay requires pipetting of small volumes. To minimize imprecision caused by pipetting, ensure that pipettors are calibrated. It is recommended to suck more than 10 μ l for once pipetting.
    3. To ensure accurate results, proper adhesion of plate sealers during incubation steps is necessary. Do not allow wells to sit uncovered for extended periods between incubation steps. Once reagents have been added to the well strips, DO NOT let the 5 strips DRY at any time during the assay.
    4. For each step in the procedure, total dispensing time for addition of reagents to the assay plate should not exceed 10 minutes.
    5. To avoid cross-contamination, change pipette tips between additions of each standard level, between sample additions, and between reagent additions. Also, use separate reservoirs for each reagent.
    6. The wash procedure is critical. Insufficient washing will result in poor precision and falsely elevated absorbance readings.
    7. Duplication of all standards and specimens, although not required, is recommended.
    8. Substrate Solution is easily contaminated. Please protect it from light.

    Ergebnisberechnung

    Average the duplicate readings for each standard, control, and sample and subtract the average zero standard optical density. Create a standard curve by reducing the data using computer software capable of generating a four parameter logistic (4-PL) curve-fit. As an alternative, construct a standard curve by plotting the mean absorbance for each standard on the x-axis against the concentration on the y-axis and draw a best fit curve through the points on the graph. The data may be linearized by plotting the log of the SAA concentrations versus the log of the O.D. and the best fit line can be determined by regression analysis. It is recommended to use some related software to do this calculation, such as curve expert 13.0. This procedure will produce an adequate but less precise fit of the data. If samples have been diluted, the concentration read from the standard curve must be multiplied by the dilution factor.

    Beschränkungen

    Nur für Forschungszwecke einsetzbar
  • Handhabung

    1. The kit should not be used beyond the expiration date on the kit label.
    2. Do not mix or substitute reagents with those from other lots or sources.
    3. If samples generate values higher than the highest standard, further dilute the samples with the Assay Diluent and repeat the assay. Any variation in standard diluent, operator, pipetting technique, washing technique,incubation time or temperature, and kit age can cause variation in binding.
    4. This assay is designed to eliminate interference by soluble receptors, ligands, binding proteins, and other factors present in biological samples. Until all factors have been tested in the Immunoassay, the possibility of interference cannot be excluded.
    3.

    Lagerung

    4 °C/-20 °C

    Informationen zur Lagerung

    The Assay Plate, Standard, Detection Reagent A and Detection Reagent B should be stored at -20°C upon being received. After receiving the kit , Substrate should be always stored at 4°C.
  • Target Alle ErbB2/Her2 ELISA Kits anzeigen

    ErbB2/Her2 (Receptor tyrosine-protein kinase erbB-2 (ErbB2/Her2))

    Andere Bezeichnung

    ERBB2

    Hintergrund

    The human HER-2 (c-erbB-2, neu) gene encodes a putative transmembrane growth factor receptor (p185 protein) that is closely related to the epidermal growth factor receptor protein. The HER-2 gene product is a 185 kDa-glycoprotein that contains an extracellular ligandbinding domain and intracellular tyrosine kinase activity. p185HER-2 protein staining is observed only in low levels in epithelial cells of most organs in normal human tissues and at slightly higher levels in fetal tissues. Both HER-2 oncogene amplification and oncoprotein overexpression have been analyzed for potential utility in diagnostic and prognostic tests for: breast, ovarian, gastric, lung, and other cancers.In these malignancies the p185HER-2 oncoprotein overexpression is correlated with a poor prognosis. In 15-40 % of primary breast cancers, amplification of the HER-2 oncogen is found which is highly correlated with overexpression of the encoded 185 kDa protein and seems to play a major role especially during the initiation of ductal carcinomas. p185HER-2 overexpression is described as independent prognostic factor with greater predictive power than most of the currently used prognostic tools– especially in axillary lymph-node-positive breast cancer patients.

    Gen-ID

    3037

    Pathways

    RTK Signalweg, Fc-epsilon Rezeptor Signalübertragung, EGFR Signaling Pathway, Neurotrophin Signalübertragung, Skeletal Muscle Fiber Development
Sie sind hier:
Chat with us!