Telefon:
+49 (0)241 95 163 153
Fax:
+49 (0)241 95 163 155
E-Mail:
orders@antikoerper-online.de

OVA sIgE ELISA Kit

Maus OVA sIgE ELISA Kit, Colorimetric Assay für die Quantifizierung von Maus OVA sIgE.
Produktnummer ABIN5696483
481,54 €
Zzgl. Versandkosten 20,00 € und MwSt
96 tests
Lieferung nach: Deutschland
Lieferung in 11 bis 15 Werktagen

Kurzübersicht für OVA sIgE ELISA Kit (ABIN5696483)

Target

Alle OVA sIgE Produkte
OVA sIgE (Ovalbumin Specific IgE (OVA sIgE))

Reaktivität

  • 3
  • 3
  • 2
  • 2
  • 2
  • 2
  • 2
  • 1
  • 1
  • 1
  • 1
  • 1
Maus

Nachweismethode

Colorimetric

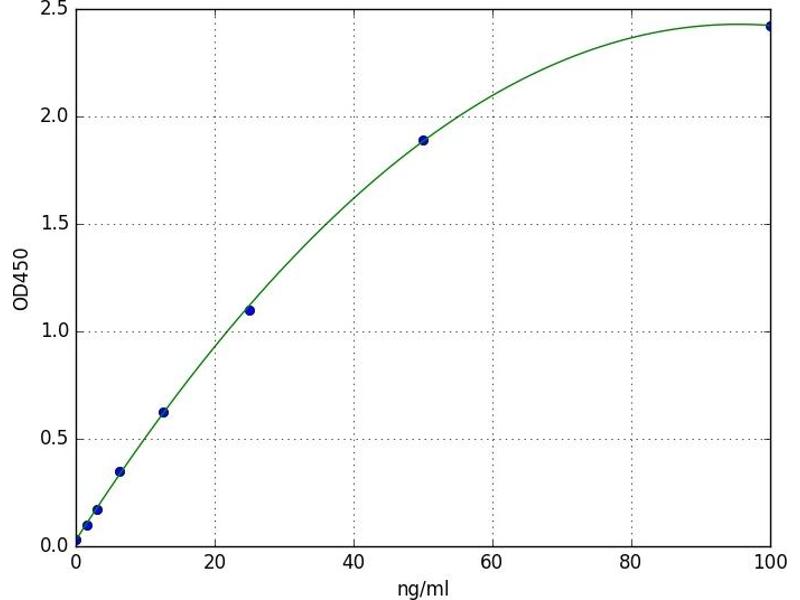
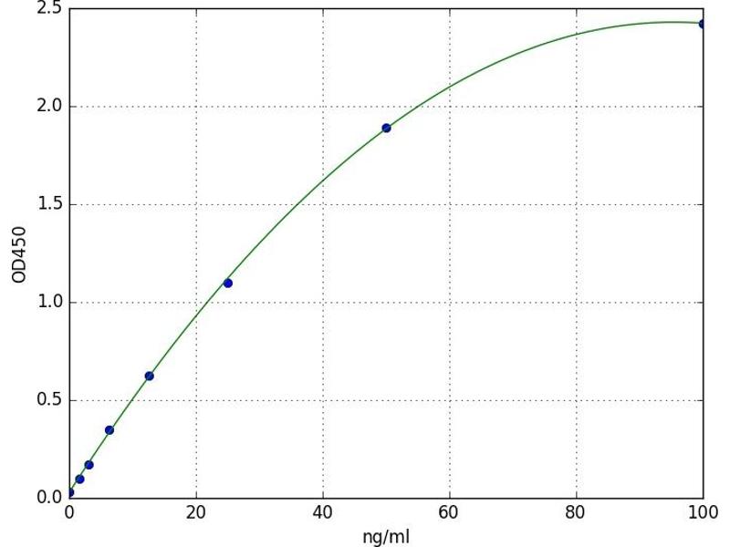
Detektionsbereich

1.56 ng/mL - 100 ng/mL

Applikation

ELISA
  • Untere Nachweisgrenze

    1.56 ng/mL

    Analytische Methode

    Quantitative

    Sensitivität

    0938 ng/mL
  • Applikationshinweise

    Optimal working dilution should be determined by the investigator.

    Kommentare

    Indirect ELISA

    Plattentyp

    Pre-coated

    Beschränkungen

    Nur für Forschungszwecke einsetzbar
  • Lagerung

    4 °C

    Haltbarkeit

    6 months
  • Target Alle OVA sIgE Produkte

    OVA sIgE (Ovalbumin Specific IgE (OVA sIgE))

    Andere Bezeichnung

    OVA sIgE (Ovalbumin Specific IgE)

    Substanzklasse

    Antibody

    Hintergrund

    OVA sIgE
Sie sind hier:
Chat with us!