Telefon:
+49 (0)241 95 163 153
Fax:
+49 (0)241 95 163 155
E-Mail:
orders@antikoerper-online.de

OVA sIgE ELISA Kit

Das Human OVA sIgE ELISA Kit (ABIN5696482) ist ein Colorimetric ELISA Kit zur Detektion von Human OVA sIgE.
Produktnummer ABIN5696482
601,54 €
Zzgl. Versandkosten 20,00 € und MwSt
96 tests
Lieferung nach: Deutschland
Lieferung in 11 bis 15 Werktagen

Kurzübersicht für OVA sIgE ELISA Kit (ABIN5696482)

Target

Alle OVA sIgE Produkte
OVA sIgE (Ovalbumin Specific IgE (OVA sIgE))

Reaktivität

  • 3
  • 3
  • 2
  • 2
  • 2
  • 2
  • 2
  • 1
  • 1
  • 1
  • 1
  • 1
Human

Nachweismethode

Colorimetric

Methodentyp

Indirect ELISA

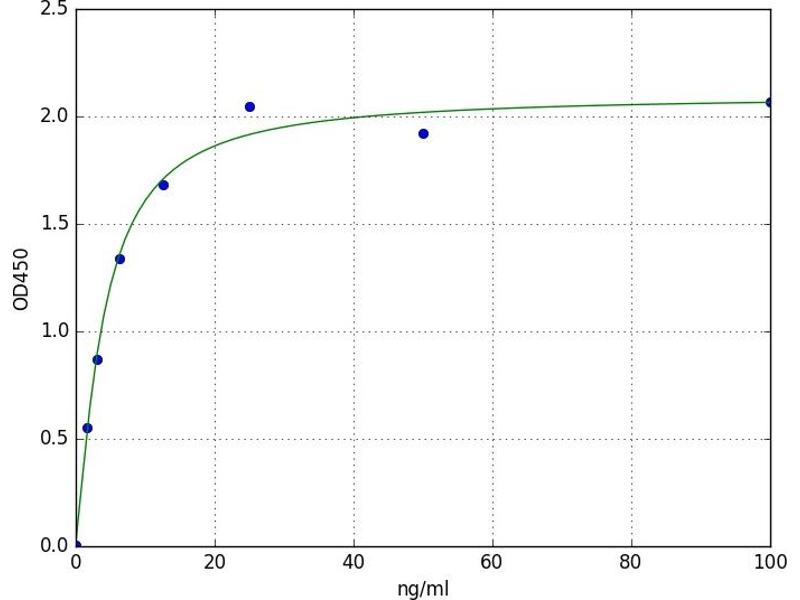
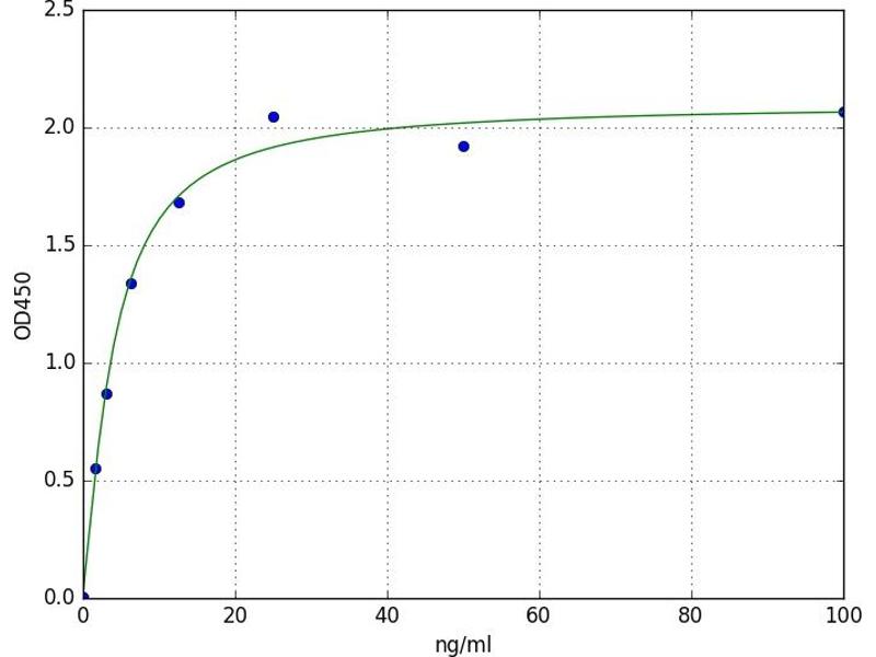
Detektionsbereich

1.563 ng/mL - 100 ng/mL

Applikation

ELISA

Proben

Plasma, Serum, Tissue Homogenate
  • Untere Nachweisgrenze

    1.563 ng/mL

    Verwendungszweck

    For quantitative detection of OVA sIgE in serum, plasma, tissue homogenates.

    Analytische Methode

    Quantitative

    Spezifität

    This assay has high sensitivity and excellent specificity for detection of OVA sIgE. No significant cross- reactivity or interference between OVA sIgE and analogues was observed. Note: Limited by current skills and knowledge, it is difficult for us to complete the cross-reactivity detection between OVA sIgE and all the analogues, therefore, cross reaction may still exist.

    Sensitivität

    0.938 ng/mL
  • Applikationshinweise

    Optimal working dilution should be determined by the investigator.

    Kommentare

    Indirect ELISA

    Plattentyp

    Pre-coated

    Beschränkungen

    Nur für Forschungszwecke einsetzbar
  • Lagerung

    4 °C

    Informationen zur Lagerung

    1. For unopened kit: All the reagents should be kept according to the labels on vials. The Reference Standard and the 96-well stripe plate should be stored at -20 °C upon receipt while the other reagents should be stored at 4 °C.
    2. For used kit: When the kit is used, the remaining reagents need to be stored according to the above storage condition. Besides, please return the unused wells to the foil pouch containing the desiccant pack, and zip-seal the foil pouch.

    Haltbarkeit

    6 months
  • Target Alle OVA sIgE Produkte

    OVA sIgE (Ovalbumin Specific IgE (OVA sIgE))

    Andere Bezeichnung

    OVA sIgE (Ovalbumin Specific IgE)

    Substanzklasse

    Antibody

    Hintergrund

    OVA sIgE
Sie sind hier:
Chat with us!