Telefon:
+49 (0)241 95 163 153
Fax:
+49 (0)241 95 163 155
E-Mail:
orders@antikoerper-online.de

FGF23 ELISA Kit

Human FGF23 ELISA Kit, Colorimetric Assay für die Quantifizierung von Human FGF23.
Produktnummer ABIN5520537
481,54 €
Zzgl. Versandkosten 20,00 € und MwSt
96 tests
Lieferung nach: Deutschland
Lieferung in 11 bis 15 Werktagen

Kurzübersicht für FGF23 ELISA Kit (ABIN5520537)

Target

Alle FGF23 ELISA Kits anzeigen
FGF23 (Fibroblast Growth Factor 23 (FGF23))

Reaktivität

  • 15
  • 10
  • 10
  • 2
  • 2
  • 2
  • 2
  • 1
  • 1
  • 1
  • 1
  • 1
Human

Nachweismethode

Colorimetric

Methodentyp

Sandwich ELISA

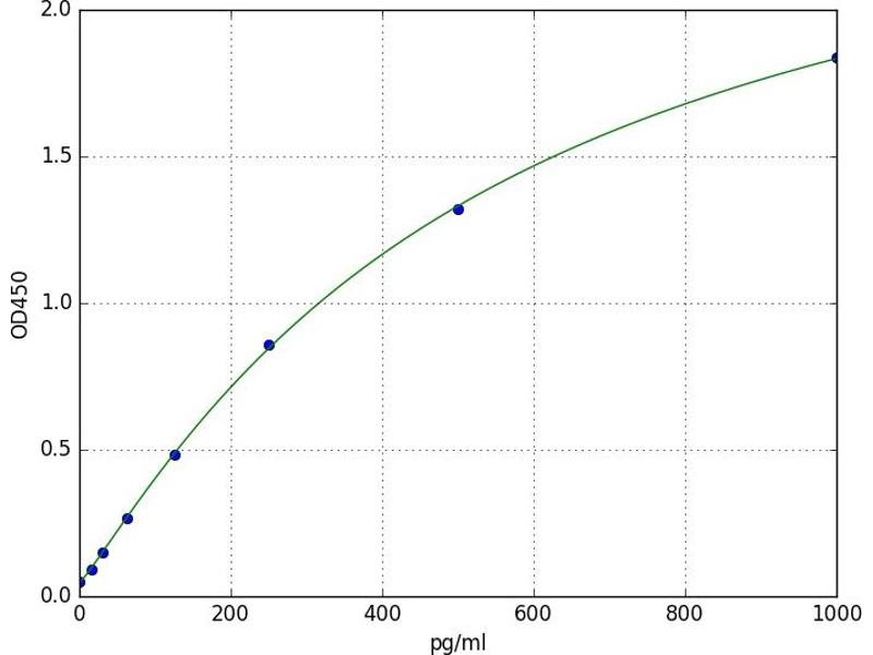
Detektionsbereich

15.625 pg/mL - 1000 pg/mL

Applikation

ELISA

Proben

Plasma, Serum, Tissue Homogenate
  • Untere Nachweisgrenze

    15.625 pg/mL

    Verwendungszweck

    For quantitative detection of FGF23 in serum, plasma, tissue homogenates.

    Analytische Methode

    Quantitative

    Spezifität

    This assay has high sensitivity and excellent specificity for detection of FGF23. No significant cross-reactivity or interference between FGF23 and analogues was observed. Note: Limited by current skills and knowledge, it is difficult for us to complete the cross-reactivity detection between FGF23 and all the analogues, therefore, cross reaction may still exist.

    Sensitivität

    9.375 pg/mL

    Bestandteile

    - ELISA Microplate
    - Lyophilized Standard
    - Sample / Standard Dilution Buffer
    - Biotin-labeled Antibody (Concentrated)
    - Antibody Dilution Buffer
    - HRP-Streptavidin Conjugate(SABC)
    - SABC Dilution Buffer
    - TMB Substrate
    - Stop Solution
    - Wash Buffer (25X)
    - Plate Sealer
    - Product Description
  • Applikationshinweise

    Optimal working dilution should be determined by the investigator.

    Kommentare

    Sandwich ELISA, Double Antibody

    Probenmenge

    100 μL

    Plattentyp

    Pre-coated

    Beschränkungen

    Nur für Forschungszwecke einsetzbar
  • Lagerung

    4 °C

    Informationen zur Lagerung

    1. For unopened kit: All the reagents should be kept according to the labels on vials. The Reference Standard and the 96-well stripe plate should be stored at -20 °C upon receipt while the other reagents should be stored at 4 °C.
    2. For used kit: When the kit is used, the remaining reagents need to be stored according to the above storage condition. Besides, please return the unused wells to the foil pouch containing the desiccant pack, and zip-seal the foil pouch.

    Haltbarkeit

    6 months
  • Target Alle FGF23 ELISA Kits anzeigen

    FGF23 (Fibroblast Growth Factor 23 (FGF23))

    Andere Bezeichnung

    FGF23

    Hintergrund

    FGF23/ADHR/FGF-23/fibroblast growth factor 23/HPDR2/HYPF/Phosphatonin/phosphatonin/PHPTC/tumor-derived hypophosphatemia inducing factor/Tumor-derived hypophosphatemia-inducing factor

    UniProt

    Q9GZV9

    Pathways

    RTK Signalweg, Fc-epsilon Rezeptor Signalübertragung, EGFR Signaling Pathway, Neurotrophin Signalübertragung, Negative Regulation of Hormone Secretion
Sie sind hier:
Chat with us!