Telefon:
+49 (0)241 95 163 153
Fax:
+49 (0)241 95 163 155
E-Mail:
orders@antikoerper-online.de

HbA1c ELISA Kits

(Glycated Hemoglobin HbA1c (HbA1c))

Wählen Sie eines der 33 HbA1c-ELISA Kits aus unserem Produktangebot basierend auf 13 Publikationen und 11 Validierungsbildern.

Entdecken Sie zuverlässige HbA1c-Antikörper aus einer breiten Auswahl renommierter Hersteller. Unser Portfolio ermöglicht eine präzise Detektion von HbA1c über verschiedene Spezies hinweg, darunter Mouse, Rat, Human, Chicken, Cow, Dog, Goat, Guinea Pig, Monkey, Pig, Rabbit, Sheep, und unterstützt vielfältige Forschungsanwendungen wie .

Finden Sie schnell den passenden Antikörper mit Hilfe unserer Such-, Filter- und Vergleichstools. Jede Produktseite bietet detaillierte Validierungsdaten, Literaturhinweise und Kundenbewertungen. Im Gegensatz zu reinen Vergleichsplattformen können Sie Ihre ausgewählten Antikörper direkt über unsere Website erwerben – für einen effizienten und transparenten Beschaffungsprozess. Wählen Sie aus polyklonalen, monoklonalen oder rekombinanten HbA1c-Antikörpern, die von verschiedenen Wirten wie stammen. Durchstöbern Sie unten unsere Produkte und bestellen Sie direkt, um Ihre Forschung zuverlässig zu unterstützen.

Alternative Bezeichnungen für HbA1c sind HGB.

33 Treffer

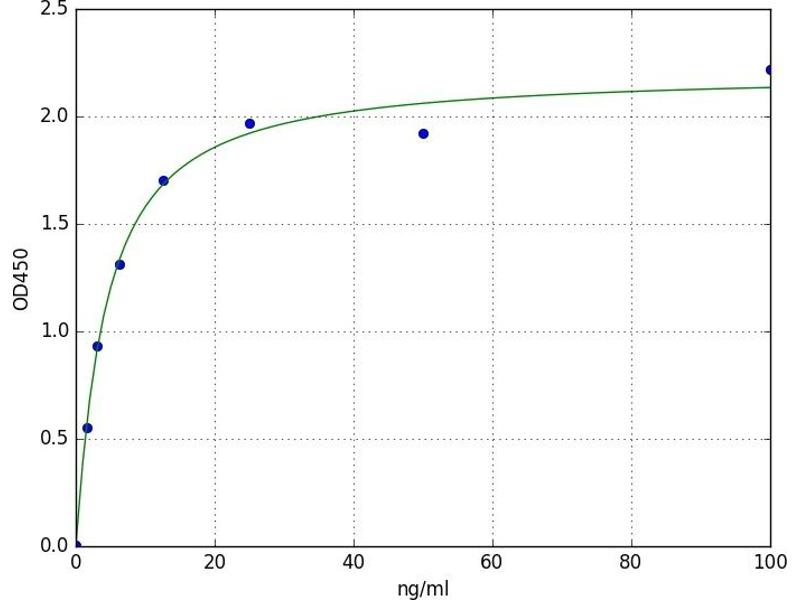
HbA1c Reaktivität: Ratte Colorimetric Sandwich ELISA 1.563 ng/mL - 100 ng/mL Plasma, Serum, Tissue Homogenate
Pubmed 1 reference
Produktnummer ABIN6967137
508,85 €
Zzgl. Versandkosten 20,00 € und MwSt
96 tests
Lieferung nach: Deutschland
Lieferung in 11 bis 15 Werktagen
 
HbA1c Reaktivität: Human Colorimetric Competition ELISA 12.35 μg/mL - 1000 μg/mL Erythrocyte Lysates, Plasma, Serum
Pubmed 2 Referenzen
Produktnummer ABIN6956233
770,00 €
Zzgl. Versandkosten 20,00 € und MwSt
96 tests (Weitere Mengeneinheiten)
Lieferung nach: Deutschland
Lieferung in 10 bis 13 Werktagen
 
HbA1c Reaktivität: Ratte Colorimetric Competition ELISA 12.35 μg/mL - 1000 μg/mL Erythrocyte Lysates, Plasma
Pubmed 1 reference
Produktnummer ABIN6956235
836,00 €
Zzgl. Versandkosten 20,00 € und MwSt
96 tests (Weitere Mengeneinheiten)
Lieferung nach: Deutschland
Lieferung in 10 bis 13 Werktagen
 
HbA1c Reaktivität: Maus Colorimetric Competition ELISA 0.78 μg/mL - 50 μg/mL Red Blood Cell Lysate
Pubmed 1 reference
Produktnummer ABIN6974165
844,94 €
Zzgl. Versandkosten 20,00 € und MwSt
96 tests (Weitere Mengeneinheiten)
Lieferung nach: Deutschland
Lieferung in 11 bis 15 Werktagen
 
HbA1c Reaktivität: Human Colorimetric Competition ELISA 78.125 pg/mL - 5000 pg/mL Plasma, Serum, Tissue Homogenate
Produktnummer ABIN6967135
638,85 €
Zzgl. Versandkosten 20,00 € und MwSt
96 tests
Lieferung nach: Deutschland
Lieferung in 11 bis 15 Werktagen
 
HbA1c Reaktivität: Maus Colorimetric Sandwich ELISA 1.25 ng/mL - 80 ng/mL Plasma, Serum, Tissue Homogenate
Produktnummer ABIN6967136
638,85 €
Zzgl. Versandkosten 20,00 € und MwSt
96 tests
Lieferung nach: Deutschland
Lieferung in 11 bis 15 Werktagen
 
HbA1c Reaktivität: Maus Colorimetric Competition ELISA 12.35 μg/mL - 1000 μg/mL Erythrocyte Lysates, Plasma
Produktnummer ABIN6956234
792,00 €
Zzgl. Versandkosten 20,00 € und MwSt
96 tests (Weitere Mengeneinheiten)
Lieferung nach: Deutschland
Lieferung in 10 bis 13 Werktagen
 
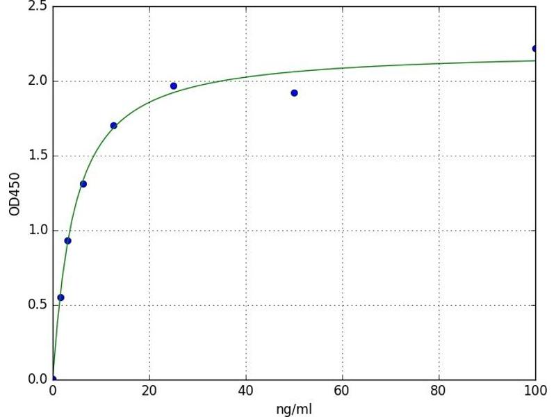
HbA1c Reaktivität: Ratte Colorimetric Sandwich ELISA 1.56 ng/mL - 100 ng/mL Plasma, Serum, Tissue Homogenate
Pubmed 1 reference
Produktnummer ABIN5523355
481,54 €
Zzgl. Versandkosten 20,00 € und MwSt
96 tests
Lieferung nach: Deutschland
Lieferung in 11 bis 15 Werktagen
 
HbA1c Reaktivität: Maus Colorimetric Competition ELISA 0.78-50 μg/mL Red Blood Cells
Pubmed 1 reference
Produktnummer ABIN457131
844,94 €
Zzgl. Versandkosten 20,00 € und MwSt
96 tests (Weitere Mengeneinheiten)
Lieferung nach: Deutschland
Lieferung in 11 bis 15 Werktagen
 
HbA1c Reaktivität: Human Colorimetric Competition ELISA 0.012-50 ng/mL Red Blood Cells
Pubmed 2 Referenzen
Produktnummer ABIN457007
697,92 €
Zzgl. Versandkosten 20,00 € und MwSt
96 tests (Weitere Mengeneinheiten)
Lieferung nach: Deutschland
Lieferung in 11 bis 15 Werktagen
 
HbA1c Reaktivität: Ratte Colorimetric Competition ELISA 0.019-80 ng/mL Red Blood Cell Lysate
Pubmed 4 Referenzen
Produktnummer ABIN457237
993,10 €
Zzgl. Versandkosten 20,00 € und MwSt
96 tests (Weitere Mengeneinheiten)
Lieferung nach: Deutschland
Lieferung in 11 bis 15 Werktagen
 
Wide Range HbA1c Reaktivität: Maus Colorimetric Competition ELISA 12.35 μg/mL - 1000 μg/mL Cell Lysate, Plasma
Produktnummer ABIN6999522
770,00 €
Zzgl. Versandkosten 20,00 € und MwSt
96 tests (Weitere Mengeneinheiten)
Lieferung nach: Deutschland
Lieferung in 10 bis 13 Werktagen
 
QuickTest HbA1c Reaktivität: Maus Colorimetric Sandwich ELISA 1.25 ng/mL - 80 ng/mL Red Blood Cell Lysate
Produktnummer ABIN7671477
641,23 €
Zzgl. Versandkosten 20,00 € und MwSt
96 tests
Lieferung nach: Deutschland
Lieferung in 11 bis 15 Werktagen
 
QuickTest HbA1c Reaktivität: Ratte Colorimetric Sandwich ELISA 1.563 ng/mL - 100 ng/mL Red Blood Cell Lysate
Produktnummer ABIN7671478
641,23 €
Zzgl. Versandkosten 20,00 € und MwSt
96 tests
Lieferung nach: Deutschland
Lieferung in 11 bis 15 Werktagen
 
HbA1c Reaktivität: Human Colorimetric Competition ELISA 25-500 ng/mL Cell Culture Supernatant, Plasma, Serum, Tissue Homogenate
Produktnummer ABIN770806
657,14 €
Zzgl. Versandkosten 20,00 € und MwSt
96 tests
Lieferung nach: Deutschland
Lieferung in 13 bis 17 Werktagen
 
HbA1c Reaktivität: Ratte Colorimetric Competition ELISA 25-500 ng/mL Cell Culture Supernatant, Plasma, Serum, Tissue Homogenate
Produktnummer ABIN771887
657,14 €
Zzgl. Versandkosten 20,00 € und MwSt
96 tests
Lieferung nach: Deutschland
Lieferung in 13 bis 17 Werktagen
 
HbA1c Reaktivität: Schaf Colorimetric Competition ELISA Cell Culture Supernatant, Plasma, Serum, Tissue Homogenate
Produktnummer ABIN1054155
657,14 €
Zzgl. Versandkosten 20,00 € und MwSt
96 tests
Lieferung nach: Deutschland
Lieferung in 13 bis 17 Werktagen
 
HbA1c Reaktivität: Ziege Colorimetric Competition ELISA Cell Culture Supernatant, Plasma, Serum, Tissue Homogenate
Produktnummer ABIN992195
657,14 €
Zzgl. Versandkosten 20,00 € und MwSt
96 tests
Lieferung nach: Deutschland
Lieferung in 13 bis 17 Werktagen
 
HbA1c Reaktivität: Schwein Colorimetric Competition ELISA Cell Culture Supernatant, Plasma, Serum, Tissue Homogenate
Produktnummer ABIN778971
657,14 €
Zzgl. Versandkosten 20,00 € und MwSt
96 tests
Lieferung nach: Deutschland
Lieferung in 13 bis 17 Werktagen
 
HbA1c Reaktivität: Meerschweinchen Colorimetric Competition ELISA 25-500 μg/mL Cell Culture Supernatant, Plasma, Serum, Tissue Homogenate
Produktnummer ABIN776987
657,14 €
Zzgl. Versandkosten 20,00 € und MwSt
96 tests
Lieferung nach: Deutschland
Lieferung in 13 bis 17 Werktagen
 
  • Typ Kit
    • Kit
  • Anwendung ELISA
    • ELISA
  • Reaktivität
    • Mouse
    • Rat
    • Human
    • Chicken
    • Cow
    • Dog
    • Goat
    • Guinea Pig
    • Monkey
    • Pig
    • Rabbit
    • Sheep
  • In Publikationen zitiert
  • Abbildungen verfügbar
  • Methodentyp
    • Competition ELISA
    • Sandwich ELISA
  • Analytische Methode
    • Quantitative
  • Detektionsmethode
    • Colorimetric
  • Platte
    • Pre-coated
    • Strips (12 x 8)
    • Uncoated
  • Konjugat
    • Unkonjugiert
  • Probe
    • Plasma
    • Serum
    • Tissue Homogenate
    • Cell Culture Supernatant
    • Cell Lysate
    • Red Blood Cell Lysate
    • Erythrocyte Lysates
    • Red Blood Cells
  • Grade
    • QuickTest
    • Wide Range
  • Hersteller
    • Blue Gene
    • antibodies-online
    • Biomatik
    • CUSABIO
    • Signalway
    • Wuhan Fine biotech
    • Elabscience

Aktuelle Publikationen für unsere HbA1c ELISA Kits

Qiao, Bao, Wang, Sun, Liao, Liu, Zhou, Ma, Zhang, Chen, Liu, Liu: "Activation of a Specific Gut Bacteroides-Folate-Liver Axis Benefits for the Alleviation of Nonalcoholic Hepatic Steatosis." in: Cell reports, Vol. 32, Issue 6, pp. 108005, (2020) (PubMed).

Lin, Cheng, Lo, Lin, Lin, Yeh, Ho, Lin, Liu: "1H Nuclear Magnetic Resonance (NMR)-Based Cerebrospinal Fluid and Plasma Metabolomic Analysis in Type 2 Diabetic Patients and Risk Prediction for Diabetic Microangiopathy." in: Journal of clinical medicine, Vol. 8, Issue 6, (2019) (PubMed).

Chen, Su, Chen, He, Liu, Xu, Wei, Li, He: "d-Ribose as a Contributor to Glycated Haemoglobin." in: EBioMedicine, Vol. 25, pp. 143-153, (2018) (PubMed).

El-Shemi, Kensara, Alsaegh, Mukhtar et al.: "Pharmacotherapy with Thymoquinone Improved Pancreatic β-Cell Integrity and Functional Activity, Enhanced Islets Revascularization, and Alleviated Metabolic and Hepato-Renal Disturbances in ..." in: Pharmacology, Vol. 101, Issue 1-2, pp. 9-21, (2018) (PubMed).

Balaha, Kandeel, Kabel: "Phloretin either alone or in combination with duloxetine alleviates the STZ-induced diabetic neuropathy in rats." in: Biomedicine & pharmacotherapy, Vol. 101, pp. 821-832, (2018) (PubMed).

Ning, Wang, Gao, Mu, Wang, Liu, Zhu, Meng: "Chicory inulin ameliorates type 2 diabetes mellitus and suppresses JNK and MAPK pathways in vivo and in vitro." in: Molecular nutrition & food research, (2017) (PubMed).

Mohamad, El-Sherbeny, Bekhet: "The Effect of Vitamin D Supplementation on Glycemic Control and Lipid Profile in Patients with Type 2 Diabetes Mellitus." in: Journal of the American College of Nutrition, Vol. 35, Issue 5, pp. 399-404, (2016) (PubMed).

Kahr, Suter, Ballas, Ramin, Monga, Lee, Hu, Shope, Chesnokova, Krannich, Griffin, Mastrobattista, Dildy, Strehlow, Ramphul, Hamilton, Aagaard: "Geospatial analysis of food environment demonstrates associations with gestational diabetes." in: American journal of obstetrics and gynecology, Vol. 214, Issue 1, pp. 110.e1-9, (2016) (PubMed).

Guo, Mi, Jiang, Xu, Tang, Tian, Wang: "Metformin may produce antidepressant effects through improvement of cognitive function among depressed patients with diabetes mellitus." in: Clinical and experimental pharmacology & physiology, Vol. 41, Issue 9, pp. 650-6, (2015) (PubMed).

Manaer, Yu, Zhang, Xiao, Nabi: "Anti-diabetic effects of shubat in type 2 diabetic rats induced by combination of high-glucose-fat diet and low-dose streptozotocin." in: Journal of ethnopharmacology, Vol. 169, pp. 269-74, (2015) (PubMed).

Aliase für HbA1c ELISA Kits

Hemoglobin (HGB) ELISA Kits
HGB ELISA Kits
Sie sind hier:
Chat with us!