Telefon:
+49 (0)241 95 163 153
Fax:
+49 (0)241 95 163 155
E-Mail:
orders@antikoerper-online.de

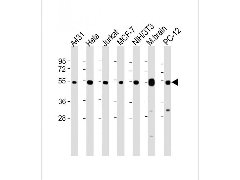
TUBA4A Antikörper (C-Term)

Der Kaninchen Polyklonal anti-TUBA4A Antikörper wird verwendet zum Nachweis von TUBA4A in Proben von Human, Maus und Ratte. Er wurde validiert für WB und IHC (p).
Produktnummer ABIN657458
434,77 €
Zzgl. Versandkosten 20,00 € und MwSt
Lieferung nach: Deutschland
Lieferung in 14 bis 17 Werktagen

Kurzübersicht für TUBA4A Antikörper (C-Term) (ABIN657458)

Target

Alle TUBA4A Antikörper anzeigen
TUBA4A (Tubulin, alpha 4a (TUBA4A))

Reaktivität

  • 50
  • 27
  • 23
  • 8
  • 6
  • 6
  • 6
  • 6
  • 5
  • 5
  • 4
  • 4
  • 4
  • 2
  • 2
  • 2
  • 2
  • 2
  • 2
  • 2
  • 1
  • 1
  • 1
  • 1
  • 1
Human, Maus, Ratte

Wirt

  • 39
  • 10
  • 3
Kaninchen

Klonalität

  • 30
  • 22
Polyklonal

Konjugat

  • 36
  • 3
  • 3
  • 2
  • 1
  • 1
  • 1
  • 1
  • 1
  • 1
  • 1
  • 1
Dieser TUBA4A Antikörper ist unkonjugiert

Applikation

  • 39
  • 22
  • 21
  • 15
  • 9
  • 6
  • 5
  • 4
  • 2
  • 1
  • 1
  • 1
  • 1
Western Blotting (WB), Immunohistochemistry (Paraffin-embedded Sections) (IHC (p))

Klon

RB33611
  • Bindungsspezifität

    • 7
    • 6
    • 6
    • 4
    • 3
    • 1
    • 1
    • 1
    • 1
    • 1
    • 1
    • 1
    AA 417-446, C-Term

    Homologie

    B, Pr

    Aufreinigung

    This antibody is purified through a protein A column, followed by peptide affinity purification.

    Immunogen

    This TUBA4A antibody is generated from rabbits immunized with a KLH conjugated synthetic peptide between 417-446 amino acids from the C-terminal region of human TUBA4A.

    Isotyp

    Ig Fraction
  • Applikationshinweise

    WB: 1:8000. IHC-P: 1:25

    Beschränkungen

    Nur für Forschungszwecke einsetzbar
  • Format

    Liquid

    Buffer

    Purified polyclonal antibody supplied in PBS with 0.09 % (W/V) sodium azide.

    Konservierungsmittel

    Sodium azide

    Vorsichtsmaßnahmen

    This product contains Sodium azide: a POISONOUS AND HAZARDOUS SUBSTANCE which should be handled by trained staff only.

    Lagerung

    4 °C,-20 °C

    Informationen zur Lagerung

    TUBA4A Antibody (C-term) can be refrigerated at 2-8 °C for up to 6 months. For long term storage, place the at -20 °C.

    Haltbarkeit

    6 months
  • Target

    TUBA4A (Tubulin, alpha 4a (TUBA4A))

    Andere Bezeichnung

    TUBA4A

    Hintergrund

    Microtubules of the eukaryotic cytoskeleton perform essential and diverse functions and are composed of a heterodimer of alpha and beta tubulin. The genes encoding these microtubule constituents are part of the tubulin superfamily, which is composed of six distinct families. Genes from the alpha, beta and gamma tubulin families are found in all eukaryotes. The alpha and beta tubulins represent the major components of microtubules, while gamma tubulin plays a critical role in the nucleation of microtubule assembly. There are multiple alpha and beta tubulin genes and they are highly conserved among and between species. This gene encodes an alpha tubulin that is a highly conserved homolog of a rat testis-specific alpha tubulin.

    Molekulargewicht

    49924

    Gen-ID

    7277

    NCBI Accession

    NP_001265481, NP_005991

    UniProt

    P68366

    Pathways

    Microtubule Dynamics, M Phase
Sie sind hier:
Chat with us!