Telefon:
+49 (0)241 95 163 153
Fax:
+49 (0)241 95 163 155
E-Mail:
orders@antikoerper-online.de

Serotonin ELISA Kit

Dieses Colorimetric ELISA kit dient der quantitativen Messung von Diverse Spezies Serotonin.
Produktnummer ABIN5706365
481,54 €
Zzgl. Versandkosten 20,00 € und MwSt
96 tests
Lieferung nach: Deutschland
Lieferung in 11 bis 15 Werktagen

Kurzübersicht für Serotonin ELISA Kit (ABIN5706365)

Target

Alle Serotonin (5-HT) ELISA Kits anzeigen
Serotonin (5-HT) (5-Hydroxytryptamine (5-HT))

Reaktivität

  • 4
  • 3
  • 3
  • 3
  • 3
  • 2
  • 1
  • 1
  • 1
  • 1
  • 1
  • 1
  • 1
  • 1
Diverse Spezies

Nachweismethode

Colorimetric

Methodentyp

Competition ELISA

Detektionsbereich

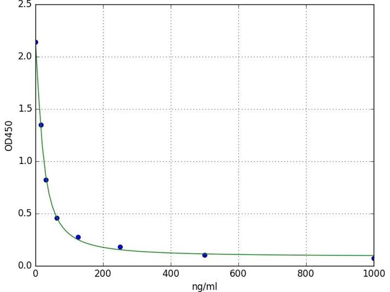
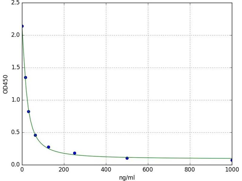
15.63 ng/mL - 1000 ng/mL

Applikation

ELISA
  • Untere Nachweisgrenze

    15.63 ng/mL

    Analytische Methode

    Quantitative

    Sensitivität

    9375 ng/mL
  • Applikationshinweise

    Optimal working dilution should be determined by the investigator.

    Kommentare

    Competitive ELISA, Coated with Antigen

    Plattentyp

    Pre-coated

    Beschränkungen

    Nur für Forschungszwecke einsetzbar
  • Lagerung

    4 °C

    Haltbarkeit

    6 months
  • Target Alle Serotonin (5-HT) ELISA Kits anzeigen

    Serotonin (5-HT) (5-Hydroxytryptamine (5-HT))

    Andere Bezeichnung

    5-hydroxytryptamine

    Substanzklasse

    Chemical

    Hintergrund

    ST/5-HT(Serotonin/5-Hydroxytryptamine)
Sie sind hier:
Chat with us!