Telefon:
+49 (0)241 95 163 153
Fax:
+49 (0)241 95 163 155
E-Mail:
orders@antikoerper-online.de

IFNalpha-Ab ELISA Kit

Dieses Colorimetric ELISA kit dient der quantitativen Messung von Ratte IFNalpha-Ab.
Produktnummer ABIN5706344
601,54 €
Zzgl. Versandkosten 20,00 € und MwSt
96 tests
Lieferung nach: Deutschland
Lieferung in 11 bis 15 Werktagen

Kurzübersicht für IFNalpha-Ab ELISA Kit (ABIN5706344)

Target

Alle IFNalpha-Ab Produkte
IFNalpha-Ab (Interferon-alpha Antibody (IFNalpha-Ab))

Reaktivität

  • 4
  • 2
  • 1
  • 1
  • 1
  • 1
  • 1
  • 1
  • 1
  • 1
  • 1
Ratte

Nachweismethode

Colorimetric

Methodentyp

Sandwich ELISA

Detektionsbereich

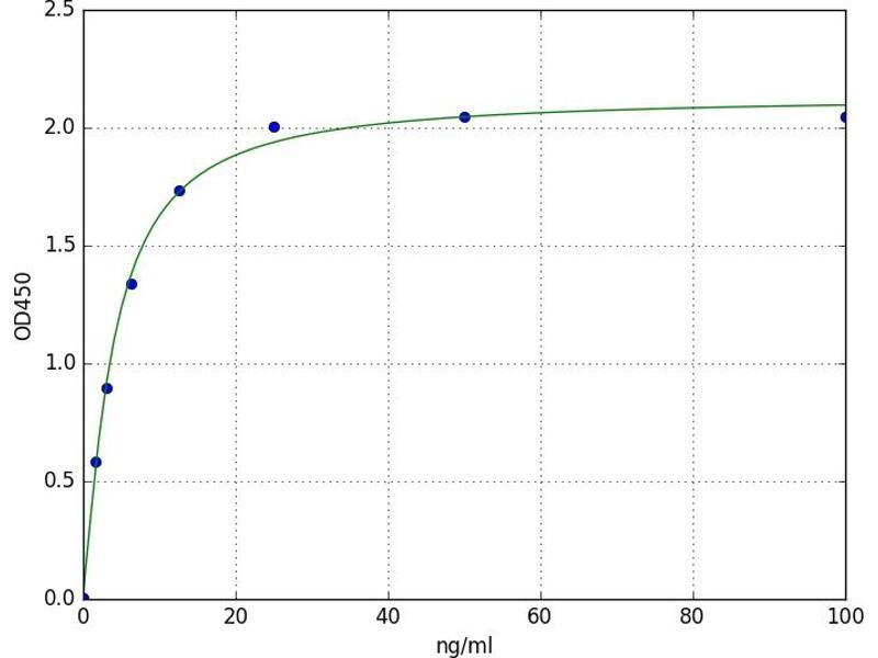
1.56 ng/mL - 100 ng/mL

Applikation

ELISA
  • Untere Nachweisgrenze

    1.56 ng/mL

    Analytische Methode

    Quantitative

    Sensitivität

    0938 ng/mL
  • Applikationshinweise

    Optimal working dilution should be determined by the investigator.

    Kommentare

    Sandwich ELISA, Double Antigen

    Plattentyp

    Pre-coated

    Beschränkungen

    Nur für Forschungszwecke einsetzbar
  • Lagerung

    4 °C

    Haltbarkeit

    6 months
  • Target Alle IFNalpha-Ab Produkte

    IFNalpha-Ab (Interferon-alpha Antibody (IFNalpha-Ab))

    Andere Bezeichnung

    Interferon-alpha Antibody

    Substanzklasse

    Antibody

    Hintergrund

    INF-α-Ab
Sie sind hier:
Chat with us!