Telefon:
+49 (0)241 95 163 153
Fax:
+49 (0)241 95 163 155
E-Mail:
orders@antikoerper-online.de

Dopamine ELISA Kit

Das Diverse Spezies Dopamine ELISA Kit (ABIN5706204) ist ein Colorimetric ELISA Kit zur Detektion von Diverse Spezies Dopamine.
Produktnummer ABIN5706204
481,54 €
Zzgl. Versandkosten 20,00 € und MwSt
96 tests
Lieferung nach: Deutschland
Lieferung in 11 bis 15 Werktagen

Kurzübersicht für Dopamine ELISA Kit (ABIN5706204)

Target

Alle Dopamine (DA) ELISA Kits anzeigen
Dopamine (DA)

Reaktivität

  • 4
  • 3
  • 2
  • 2
  • 2
  • 1
  • 1
  • 1
  • 1
  • 1
  • 1
  • 1
  • 1
  • 1
  • 1
Diverse Spezies

Nachweismethode

Colorimetric

Methodentyp

Competition ELISA

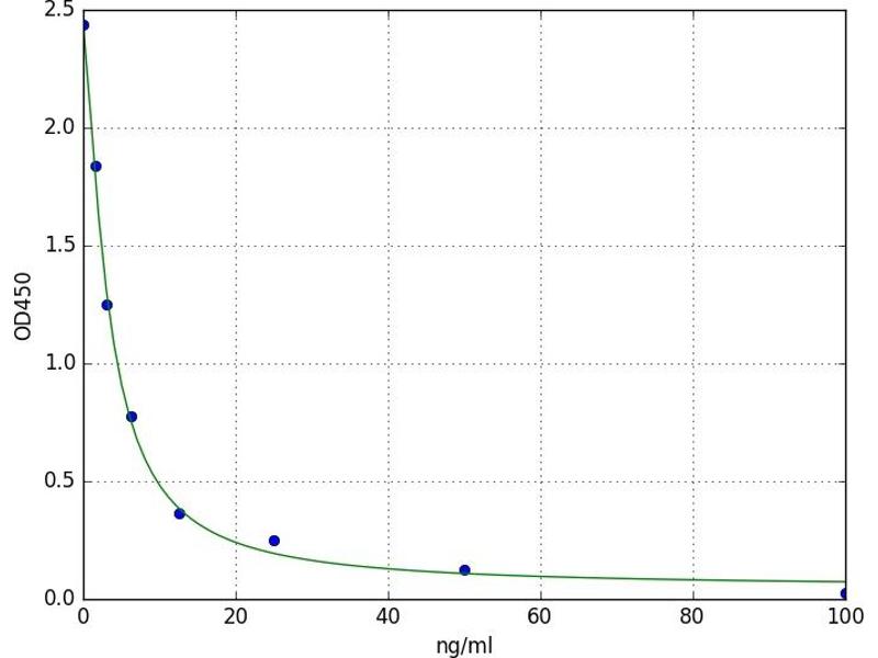
Detektionsbereich

1.56 ng/mL - 100 ng/mL

Applikation

ELISA
  • Untere Nachweisgrenze

    1.56 ng/mL

    Analytische Methode

    Quantitative

    Sensitivität

    0938 ng/mL
  • Applikationshinweise

    Optimal working dilution should be determined by the investigator.

    Kommentare

    Competitive ELISA, Coated with Antigen

    Plattentyp

    Pre-coated

    Beschränkungen

    Nur für Forschungszwecke einsetzbar
  • Lagerung

    4 °C

    Haltbarkeit

    6 months
  • Target Alle Dopamine (DA) ELISA Kits anzeigen

    Dopamine (DA)

    Andere Bezeichnung

    Dopamine

    Substanzklasse

    Chemical

    Hintergrund

    DA(Dopamine)
Sie sind hier:
Chat with us!