Telefon:
+49 (0)241 95 163 153
Fax:
+49 (0)241 95 163 155
E-Mail:
orders@antikoerper-online.de

Hemoglobin Subunit beta ELISA Kit

Dieses Colorimetric ELISA kit dient der quantitativen Messung von Human Hemoglobin Subunit beta.
Produktnummer ABIN5696799
601,54 €
Zzgl. Versandkosten 20,00 € und MwSt
96 tests
Lieferung nach: Deutschland
Lieferung in 11 bis 15 Werktagen

Kurzübersicht für Hemoglobin Subunit beta ELISA Kit (ABIN5696799)

Target

Alle Hemoglobin Subunit beta (HBB) ELISA Kits anzeigen
Hemoglobin Subunit beta (HBB) (Hemoglobin beta (HBB))

Reaktivität

  • 9
  • 2
  • 2
  • 2
  • 2
  • 2
  • 2
  • 1
  • 1
  • 1
  • 1
  • 1
Human

Nachweismethode

Colorimetric

Methodentyp

Sandwich ELISA

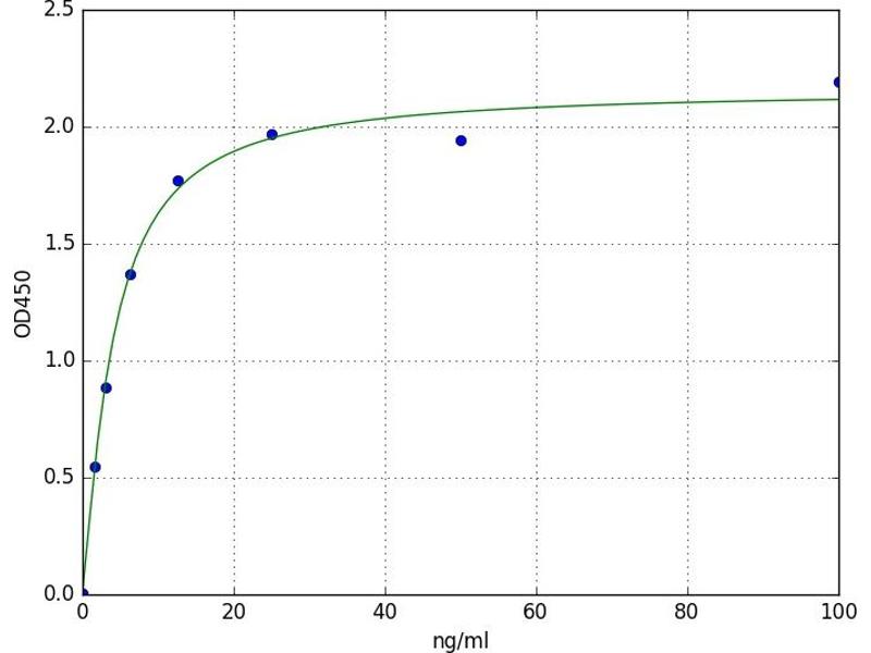
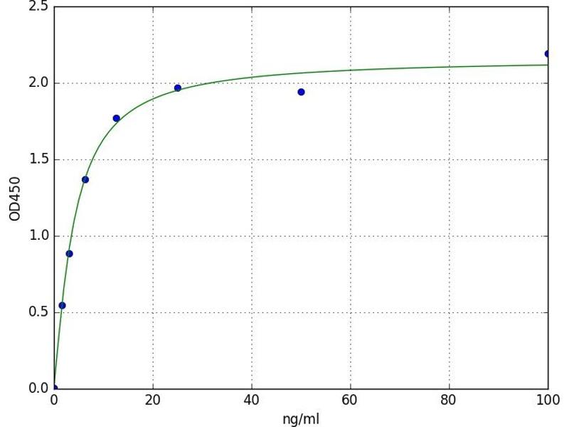
Detektionsbereich

1.563 ng/mL - 100 ng/mL

Applikation

ELISA

Proben

Red Blood Cell Lysate
  • Untere Nachweisgrenze

    1.563 ng/mL

    Verwendungszweck

    For quantitative detection of HBβ in Red Blood Cell Lysis.

    Analytische Methode

    Quantitative

    Spezifität

    This assay has high sensitivity and excellent specificity for detection of HBβ. No significant cross-reactivity or interference between HBβ and analogues was observed. Note: Limited by current skills and knowledge, it is difficult for us to complete the cross-reactivity detection between HBβ and all the analogues, therefore, cross reaction may still exist.

    Sensitivität

    0.938 ng/mL
  • Applikationshinweise

    Optimal working dilution should be determined by the investigator.

    Kommentare

    Sandwich ELISA, Double Antibody

    Plattentyp

    Pre-coated

    Beschränkungen

    Nur für Forschungszwecke einsetzbar
  • Lagerung

    4 °C

    Informationen zur Lagerung

    1. For unopened kit: All the reagents should be kept according to the labels on vials. The Reference Standard and the 96-well stripe plate should be stored at -20 °C upon receipt while the other reagents should be stored at 4 °C.
    2. For used kit: When the kit is used, the remaining reagents need to be stored according to the above storage condition. Besides, please return the unused wells to the foil pouch containing the desiccant pack, and zip-seal the foil pouch.

    Haltbarkeit

    6 months
  • Target Alle Hemoglobin Subunit beta (HBB) ELISA Kits anzeigen

    Hemoglobin Subunit beta (HBB) (Hemoglobin beta (HBB))

    Andere Bezeichnung

    HBbeta (Hemoglobin Beta)

    Substanzklasse

    Viral Protein

    Hintergrund

    HBβ/HBB(Hemoglobin subunit beta)/Beta-globin/Hemoglobin beta chain
Sie sind hier:
Chat with us!