Chemerin ELISA Kit
Kurzübersicht für Chemerin ELISA Kit (ABIN5696665)
Target
Alle Chemerin (RARRES2) ELISA Kits anzeigenReaktivität
Nachweismethode
Methodentyp
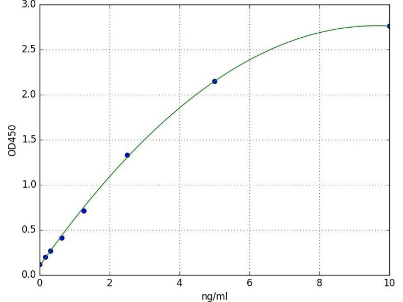
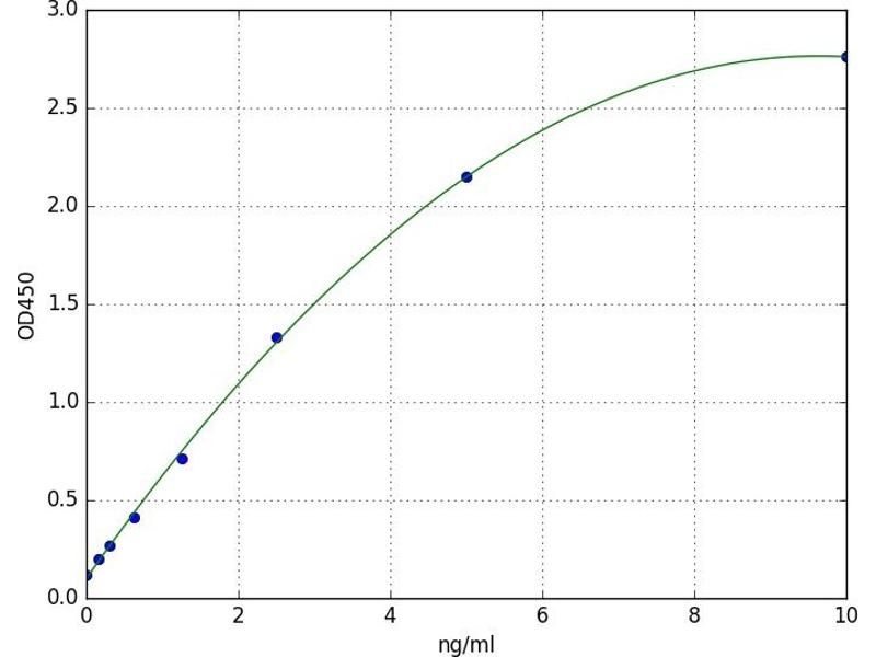
Detektionsbereich
Applikation
-
-
Untere Nachweisgrenze
- 0.15 ng/mL
-
Analytische Methode
- Quantitative
-
Sensitivität
- 0.1 ng/mL
-
-
-
-
Applikationshinweise
- Optimal working dilution should be determined by the investigator.
-
Kommentare
-
Sandwich ELISA, Double Antibody
-
Plattentyp
- Pre-coated
-
Beschränkungen
- Nur für Forschungszwecke einsetzbar
-
-
-
Lagerung
- 4 °C
-
Haltbarkeit
- 6 months
-
-
- Chemerin (RARRES2) (Retinoic Acid Receptor Responder (Tazarotene Induced) 2 (RARRES2))
-
Andere Bezeichnung
- CHEM (Chemerin)
-
Hintergrund
- RARRES2/TIG-2/chemerin/CHEM/RARRES2/RAR-responsive protein TIG2/retinoic acid receptor responder(tazarotene induced) 2/retinoic acid receptor responder protein 2/Tazarotene-induced gene 2 protein
-
Pathways
- Brown Fat Cell Differentiation
Target Alle Chemerin (RARRES2) ELISA Kits anzeigen
-