Telefon:
+49 (0)241 95 163 153
Fax:
+49 (0)241 95 163 155
E-Mail:
orders@antikoerper-online.de

Cortisol ELISA Kit

Das Maus Cortisol ELISA Kit (ABIN5696530) ist ein Colorimetric ELISA Kit zur Detektion von Maus Cortisol. Das Kit wurde in 1 Publikation zitiert.
Produktnummer ABIN5696530
481,54 €
Zzgl. Versandkosten 20,00 € und MwSt
96 tests
Lieferung nach: Deutschland
Lieferung in 11 bis 15 Werktagen

Kurzübersicht für Cortisol ELISA Kit (ABIN5696530)

Target

Alle Cortisol ELISA Kits anzeigen
Cortisol

Reaktivität

  • 9
  • 9
  • 4
  • 4
  • 4
  • 3
  • 3
  • 3
  • 3
  • 2
  • 2
  • 2
  • 2
  • 2
  • 2
  • 2
  • 1
Maus

Nachweismethode

Colorimetric

Methodentyp

Competition ELISA

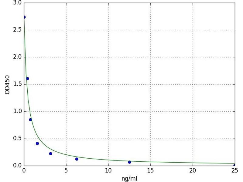
Detektionsbereich

0.39 ng/mL - 25 ng/mL

Applikation

ELISA
  • Untere Nachweisgrenze

    0.39 ng/mL

    Analytische Methode

    Quantitative

    Sensitivität

    0234 ng/mL
  • Applikationshinweise

    Optimal working dilution should be determined by the investigator.

    Kommentare

    Competitive ELISA, Coated with Antigen

    Plattentyp

    Pre-coated

    Beschränkungen

    Nur für Forschungszwecke einsetzbar
  • Lagerung

    4 °C

    Haltbarkeit

    6 months
  • Do, Woo: "From Gut to Brain: Alteration in Inflammation Markers in the Brain of Dextran Sodium Sulfate-induced Colitis Model Mice." in: Clinical psychopharmacology and neuroscience : the official scientific journal of the Korean College of Neuropsychopharmacology, Vol. 16, Issue 4, pp. 422-433, (2018) (PubMed).

  • Target Alle Cortisol ELISA Kits anzeigen

    Cortisol

    Andere Bezeichnung

    COR (Cortisol)

    Substanzklasse

    Hormone
Sie sind hier:
Chat with us!