Telefon:
+49 (0)241 95 163 153
Fax:
+49 (0)241 95 163 155
E-Mail:
orders@antikoerper-online.de

AChR Ab ELISA Kit

Human AChR Ab ELISA Kit, Colorimetric Assay für die Quantifizierung von Human AChR Ab.
Produktnummer ABIN5696513
601,54 €
Zzgl. Versandkosten 20,00 € und MwSt
96 tests
Lieferung nach: Deutschland
Lieferung in 11 bis 15 Werktagen

Kurzübersicht für AChR Ab ELISA Kit (ABIN5696513)

Target

Alle AChR Ab Produkte
AChR Ab (Acetylcholine Receptor Antibody (AChR Ab))

Reaktivität

  • 4
  • 4
  • 2
  • 2
  • 2
  • 2
  • 2
  • 2
  • 1
  • 1
  • 1
  • 1
Human

Nachweismethode

Colorimetric

Methodentyp

Indirect ELISA

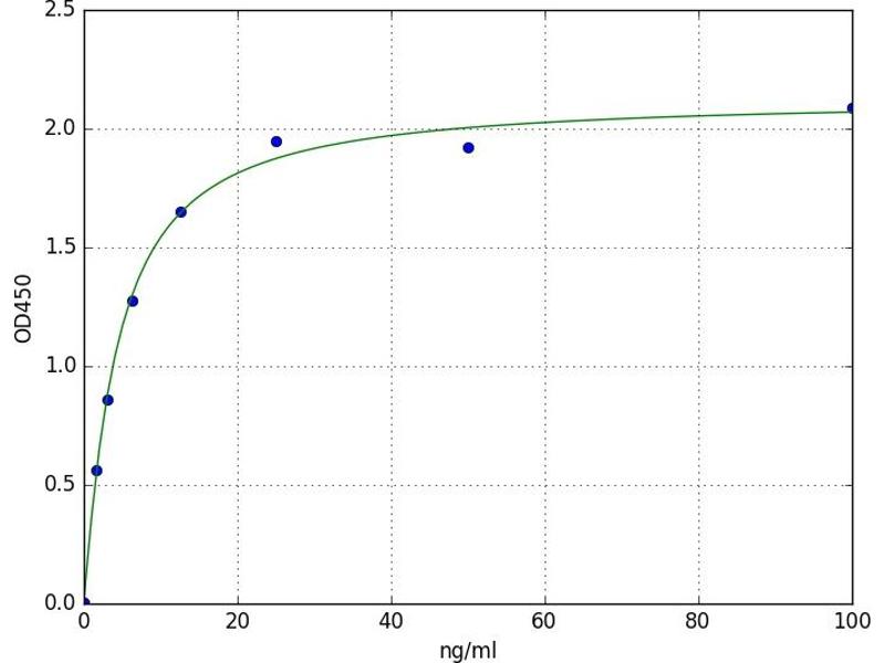
Detektionsbereich

1.563 ng/mL - 100 ng/mL

Applikation

ELISA

Proben

Plasma, Serum, Tissue Homogenate
  • Untere Nachweisgrenze

    1.563 ng/mL

    Verwendungszweck

    For quantitative detection of Anti-AChR in serum, plasma, tissue homogenates.

    Analytische Methode

    Quantitative

    Spezifität

    This assay has high sensitivity and excellent specificity for detection of Anti-AChR. No significant cross- reactivity or interference between Anti-AChR and analogues was observed. Note: Limited by current skills and knowledge, it is difficult for us to complete the cross-reactivity detection between Anti-AChR and all the analogues, therefore, cross reaction may still exist.

    Sensitivität

    0.938 ng/mL
  • Applikationshinweise

    Optimal working dilution should be determined by the investigator.

    Kommentare

    Sandwich ELISA, Double Antigen

    Plattentyp

    Pre-coated

    Beschränkungen

    Nur für Forschungszwecke einsetzbar
  • Lagerung

    4 °C

    Informationen zur Lagerung

    1. For unopened kit: All the reagents should be kept according to the labels on vials. The Reference Standard and the 96-well stripe plate should be stored at -20 °C upon receipt while the other reagents should be stored at 4 °C.
    2. For used kit: When the kit is used, the remaining reagents need to be stored according to the above storage condition. Besides, please return the unused wells to the foil pouch containing the desiccant pack, and zip-seal the foil pouch.

    Haltbarkeit

    6 months
  • Target Alle AChR Ab Produkte

    AChR Ab (Acetylcholine Receptor Antibody (AChR Ab))

    Andere Bezeichnung

    Anti-AChR (Anti-Acetylcholine Receptor Antibody)

    Substanzklasse

    Antibody, Antibody

    Hintergrund

    Anti-AChR
Sie sind hier:
Chat with us!