Telefon:
+49 (0)241 95 163 153
Fax:
+49 (0)241 95 163 155
E-Mail:
orders@antikoerper-online.de

Periostin ELISA Kit

Human Periostin ELISA Kit, Colorimetric Assay für die Quantifizierung von Human Periostin.
Produktnummer ABIN5525298
481,54 €
Zzgl. Versandkosten 20,00 € und MwSt
96 tests
Lieferung nach: Deutschland
Lieferung in 11 bis 15 Werktagen

Kurzübersicht für Periostin ELISA Kit (ABIN5525298)

Target

Alle Periostin (POSTN) ELISA Kits anzeigen
Periostin (POSTN)

Reaktivität

  • 15
  • 15
  • 4
  • 1
  • 1
  • 1
  • 1
  • 1
  • 1
Human

Nachweismethode

Colorimetric

Methodentyp

Sandwich ELISA

Detektionsbereich

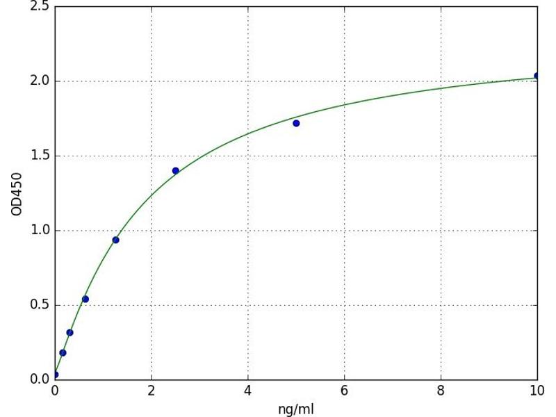
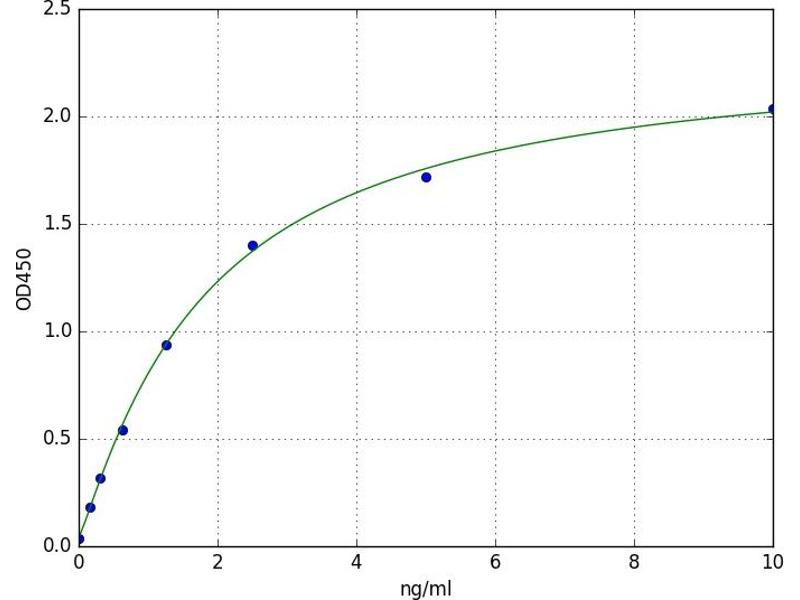
0.156 ng/mL - 10 ng/mL

Applikation

ELISA

Proben

Plasma, Serum, Tissue Homogenate
  • Untere Nachweisgrenze

    0.156 ng/mL

    Verwendungszweck

    For quantitative detection of POSTN/OSF2 in serum, plasma, tissue homogenates.

    Analytische Methode

    Quantitative

    Spezifität

    This assay has high sensitivity and excellent specificity for detection of POSTN/OSF2. No significant cross- reactivity or interference between POSTN/OSF2 and analogues was observed. Note: Limited by current skills and knowledge, it is difficult for us to complete the cross-reactivity detection between POSTN/OSF2 and all the analogues, therefore, cross reaction may still exist.

    Sensitivität

    0.094 ng/mL

    Bestandteile

    - ELISA Microplate
    - Lyophilized Standard
    - Sample / Standard Dilution Buffer
    - Biotin-labeled Antibody (Concentrated)
    - Antibody Dilution Buffer
    - HRP-Streptavidin Conjugate(SABC)
    - SABC Dilution Buffer
    - TMB Substrate
    - Stop Solution
    - Wash Buffer (25X)
    - Plate Sealer
    - Product Description
  • Applikationshinweise

    Optimal working dilution should be determined by the investigator.

    Kommentare

    Sandwich ELISA, Double Antibody

    Probenmenge

    100 μL

    Plattentyp

    Pre-coated

    Beschränkungen

    Nur für Forschungszwecke einsetzbar
  • Lagerung

    4 °C

    Informationen zur Lagerung

    1. For unopened kit: All the reagents should be kept according to the labels on vials. The Reference Standard and the 96-well stripe plate should be stored at -20 °C upon receipt while the other reagents should be stored at 4 °C.
    2. For used kit: When the kit is used, the remaining reagents need to be stored according to the above storage condition. Besides, please return the unused wells to the foil pouch containing the desiccant pack, and zip-seal the foil pouch.

    Haltbarkeit

    6 months
  • Target Alle Periostin (POSTN) ELISA Kits anzeigen

    Periostin (POSTN)

    Andere Bezeichnung

    POSTN/OSF2

    Hintergrund

    Periostin/OSF2/OSF-2/POSTN

    UniProt

    Q15063
Sie sind hier:
Chat with us!