Telefon:
+49 (0)241 95 163 153
Fax:
+49 (0)241 95 163 155
E-Mail:
orders@antikoerper-online.de

Neopterin ELISA Kit

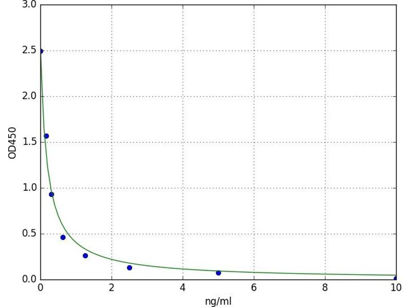
Das Human Neopterin ELISA Kit (ABIN5525189) ist ein Colorimetric ELISA Kit zur Detektion von Human Neopterin. Das Kit wurde in 1 Publikation zitiert.
Produktnummer ABIN5525189
481,54 €
Zzgl. Versandkosten 20,00 € und MwSt
96 tests
Lieferung nach: Deutschland
Lieferung in 11 bis 15 Werktagen

Kurzübersicht für Neopterin ELISA Kit (ABIN5525189)

Target

Alle Neopterin (NP) Produkte
Neopterin (NP)

Reaktivität

  • 1
  • 1
  • 1
  • 1
Human

Nachweismethode

Colorimetric

Methodentyp

Competition ELISA

Detektionsbereich

0.15 ng/mL - 10 ng/mL

Applikation

ELISA

Proben

Plasma, Serum, Tissue Homogenate
  • Untere Nachweisgrenze

    0.15 ng/mL

    Verwendungszweck

    For quantitative detection in serum, plasma, tissue homogenates and other biological fluids.

    Analytische Methode

    Quantitative

    Spezifität

    Neopterin

    Sensitivität

    0.094 ng/mL

    Bestandteile

    - ELISA Microplate
    - Lyophilized Standard
    - Sample / Standard Dilution Buffer
    - Biotin-labeled Antibody (Concentrated)
    - Antibody Dilution Buffer
    - HRP-Streptavidin Conjugate(SABC)
    - SABC Dilution Buffer
    - TMB Substrate
    - Stop Solution
    - Wash Buffer (25X)
    - Plate Sealer
    - Product Description
  • Applikationshinweise

    Optimal working dilution should be determined by the investigator.

    Kommentare

    Competitive ELISA, Coated with Antigen

    Probenmenge

    50 μL

    Plattentyp

    Pre-coated

    Beschränkungen

    Nur für Forschungszwecke einsetzbar
  • Lagerung

    4 °C

    Informationen zur Lagerung

    4 °C for 6 months

    Haltbarkeit

    6 months
  • Kranaster, Hoyer, Aksay, Bumb, Müller, Zill, Schwarz, Sartorius: "Antidepressant efficacy of electroconvulsive therapy is associated with a reduction of the innate cellular immune activity in the cerebrospinal fluid in patients with depression." in: The world journal of biological psychiatry : the official journal of the World Federation of Societies of Biological Psychiatry, Vol. 19, Issue 5, pp. 379-389, (2018) (PubMed).

  • Target Alle Neopterin (NP) Produkte

    Neopterin (NP)

    Andere Bezeichnung

    Neopterin

    Substanzklasse

    Chemical

    Hintergrund

    Neopterin
Sie sind hier:
Chat with us!