Telefon:
+49 (0)241 95 163 153
Fax:
+49 (0)241 95 163 155
E-Mail:
orders@antikoerper-online.de

TPO Ab ELISA Kit

Das Maus TPO Ab ELISA Kit (ABIN5524952) ist ein Colorimetric ELISA Kit zur Detektion von Maus TPO Ab.
Produktnummer ABIN5524952
601,54 €
Zzgl. Versandkosten 20,00 € und MwSt
96 tests
Lieferung nach: Deutschland
Lieferung in 11 bis 15 Werktagen

Kurzübersicht für TPO Ab ELISA Kit (ABIN5524952)

Target

Alle TPO Ab Produkte
TPO Ab (Anti-Thyroid-Peroxidase Antibody (TPO Ab))

Reaktivität

  • 5
  • 3
  • 2
  • 1
  • 1
  • 1
  • 1
  • 1
  • 1
Maus

Nachweismethode

Colorimetric

Methodentyp

Sandwich ELISA

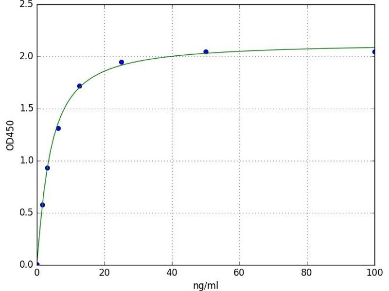
Detektionsbereich

1.56 ng/mL - 100 ng/mL

Applikation

ELISA

Proben

Plasma, Serum, Tissue Homogenate
  • Untere Nachweisgrenze

    1.56 ng/mL

    Verwendungszweck

    For quantitative detection in serum, plasma, tissue homogenates and other biological fluids.

    Analytische Methode

    Quantitative

    Spezifität

    TPO-Ab

    Sensitivität

    0.938 ng/mL

    Bestandteile

    - ELISA Microplate
    - Lyophilized Standard
    - Sample / Standard Dilution Buffer
    - Biotin-labeled Antibody (Concentrated)
    - Antibody Dilution Buffer
    - HRP-Streptavidin Conjugate(SABC)
    - SABC Dilution Buffer
    - TMB Substrate
    - Stop Solution
    - Wash Buffer (25X)
    - Plate Sealer
    - Product Description

    Benötigtes Material

    - Microplate reader (wavelength: 450nm)
    - 37 °C incubator
    - Automated plate washer
    - Precision single and multi-channel pipette and disposable tips
    - Clean tubes and Eppendorf tubes
    - Deionized or distilled water
  • Applikationshinweise

    Optimal working dilution should be determined by the investigator.

    Kommentare

    Sandwich ELISA, Double Antigen

    Probenmenge

    100 μL

    Plattentyp

    Pre-coated

    Beschränkungen

    Nur für Forschungszwecke einsetzbar
  • Lagerung

    4 °C

    Informationen zur Lagerung

    4 °C for 6 months

    Haltbarkeit

    6 months
  • Target Alle TPO Ab Produkte

    TPO Ab (Anti-Thyroid-Peroxidase Antibody (TPO Ab))

    Andere Bezeichnung

    TPO-Ab

    Substanzklasse

    Antibody, Antibody, Antibody

    Hintergrund

    TPO-Ab
Sie sind hier:
Chat with us!