Telefon:
+49 (0)241 95 163 153
Fax:
+49 (0)241 95 163 155
E-Mail:
orders@antikoerper-online.de

HMOX1 ELISA Kit

Dieses Colorimetric ELISA kit dient der quantitativen Messung von Ratte HMOX1.
Produktnummer ABIN5524630
481,54 €
Zzgl. Versandkosten 20,00 € und MwSt
96 tests
Lieferung nach: Deutschland
Lieferung in 11 bis 15 Werktagen

Kurzübersicht für HMOX1 ELISA Kit (ABIN5524630)

Target

Alle HMOX1 ELISA Kits anzeigen
HMOX1 (Heme Oxygenase (Decycling) 1 (HMOX1))

Reaktivität

  • 11
  • 8
  • 7
  • 2
  • 2
  • 2
  • 1
  • 1
  • 1
  • 1
  • 1
  • 1
  • 1
Ratte

Nachweismethode

Colorimetric

Methodentyp

Sandwich ELISA

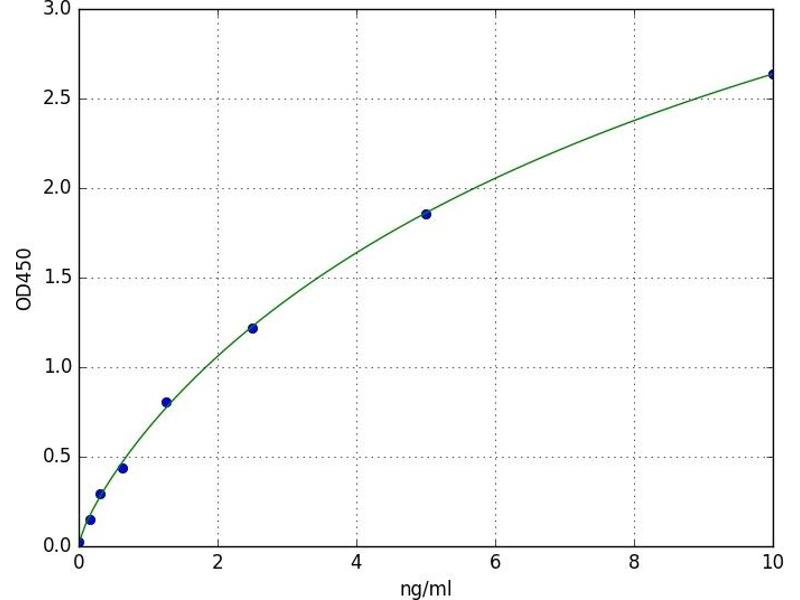
Detektionsbereich

0.15 ng/mL - 10 ng/mL

Applikation

ELISA

Proben

Plasma, Serum, Tissue Homogenate
  • Untere Nachweisgrenze

    0.15 ng/mL

    Verwendungszweck

    For quantitative detection in serum, plasma, tissue homogenates and other biological fluids.

    Analytische Methode

    Quantitative

    Spezifität

    HO-1/HO1/HMOX1/HSP32/heat shock protein, 32-kD/heme oxygenase(decycling) 1/HO/HO1

    Sensitivität

    0.094 ng/mL

    Bestandteile

    - ELISA Microplate
    - Lyophilized Standard
    - Sample / Standard Dilution Buffer
    - Biotin-labeled Antibody (Concentrated)
    - Antibody Dilution Buffer
    - HRP-Streptavidin Conjugate(SABC)
    - SABC Dilution Buffer
    - TMB Substrate
    - Stop Solution
    - Wash Buffer (25X)
    - Plate Sealer
    - Product Description
  • Applikationshinweise

    Optimal working dilution should be determined by the investigator.

    Kommentare

    Sandwich ELISA, Double Antibody

    Probenmenge

    100 μL

    Plattentyp

    Pre-coated

    Beschränkungen

    Nur für Forschungszwecke einsetzbar
  • Lagerung

    4 °C

    Informationen zur Lagerung

    4 °C for 6 months

    Haltbarkeit

    6 months
  • Target Alle HMOX1 ELISA Kits anzeigen

    HMOX1 (Heme Oxygenase (Decycling) 1 (HMOX1))

    Andere Bezeichnung

    HO-1

    Hintergrund

    HO-1/HO1/HMOX1/HSP32/heat shock protein, 32-kD/heme oxygenase(decycling) 1/HO/HO1

    UniProt

    P06762

    Pathways

    Transition Metal Ion Homeostasis, Regulation of Leukocyte Mediated Immunity, Positive Regulation of Immune Effector Process, Production of Molecular Mediator of Immune Response, SARS-CoV-2 Protein Interaktom
Sie sind hier:
Chat with us!