Telefon:
+49 (0)241 95 163 153
Fax:
+49 (0)241 95 163 155
E-Mail:
orders@antikoerper-online.de

DDIT3 ELISA Kit

Dieses Colorimetric ELISA kit dient der quantitativen Messung von Ratte DDIT3.
Produktnummer ABIN5524432
481,54 €
Zzgl. Versandkosten 20,00 € und MwSt
96 tests
Lieferung nach: Deutschland
Lieferung in 11 bis 15 Werktagen

Kurzübersicht für DDIT3 ELISA Kit (ABIN5524432)

Target

Alle DDIT3 ELISA Kits anzeigen
DDIT3 (DNA-Damage-Inducible Transcript 3 (DDIT3))

Reaktivität

  • 7
  • 4
  • 3
  • 2
  • 1
  • 1
  • 1
  • 1
  • 1
  • 1
  • 1
  • 1
Ratte

Nachweismethode

Colorimetric

Methodentyp

Competition ELISA

Detektionsbereich

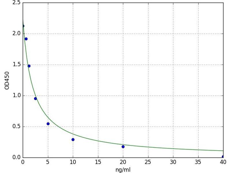
0.62 ng/mL - 40 ng/mL

Applikation

ELISA

Proben

Plasma, Serum, Tissue Homogenate
  • Untere Nachweisgrenze

    0.62 ng/mL

    Verwendungszweck

    For quantitative detection in serum, plasma, tissue homogenates and other biological fluids.

    Analytische Methode

    Quantitative

    Spezifität

    Ddit3/CEBP zeta/CHOP/CHOP10/C,EBP-homologous protein/C,EBP-homologous protein 10/CCAAT,enhancer-binding protein homologous protein/CHOP-10/CHOP10 CEBPZ/CHOPC,EBP zeta/DDIT-3/GADD153/Growth arrest and DNA damage-inducible protein GADD153

    Sensitivität

    0.375 ng/mL

    Bestandteile

    - ELISA Microplate
    - Lyophilized Standard
    - Sample / Standard Dilution Buffer
    - Biotin-labeled Antibody (Concentrated)
    - Antibody Dilution Buffer
    - HRP-Streptavidin Conjugate(SABC)
    - SABC Dilution Buffer
    - TMB Substrate
    - Stop Solution
    - Wash Buffer (25X)
    - Plate Sealer
    - Product Description
  • Applikationshinweise

    Optimal working dilution should be determined by the investigator.

    Kommentare

    Competitive ELISA, Coated with Antigen

    Probenmenge

    50 μL

    Plattentyp

    Pre-coated

    Beschränkungen

    Nur für Forschungszwecke einsetzbar
  • Lagerung

    4 °C

    Informationen zur Lagerung

    4 °C for 6 months

    Haltbarkeit

    6 months
  • Target Alle DDIT3 ELISA Kits anzeigen

    DDIT3 (DNA-Damage-Inducible Transcript 3 (DDIT3))

    Andere Bezeichnung

    Ddit3

    Hintergrund

    Ddit3/CEBP zeta/CHOP/CHOP10/C,EBP-homologous protein/C,EBP-homologous protein 10/CCAAT,enhancer-binding protein homologous protein/CHOP-10/CHOP10 CEBPZ/CHOPC,EBP zeta/DDIT-3/GADD153/Growth arrest and DNA damage-inducible protein GADD153

    UniProt

    Q62857

    Pathways

    Regulation of Muscle Cell Differentiation, ER-Nucleus Signaling, Skeletal Muscle Fiber Development, Cell RedoxHomeostasis
Sie sind hier:
Chat with us!