Telefon:
+49 (0)241 95 163 153
Fax:
+49 (0)241 95 163 155
E-Mail:
orders@antikoerper-online.de

Ki-67 ELISA Kit

Human Ki-67 ELISA Kit, Colorimetric Assay für die Quantifizierung von Human Ki-67.
Produktnummer ABIN5524359
481,54 €
Zzgl. Versandkosten 20,00 € und MwSt
96 tests
Lieferung nach: Deutschland
Lieferung in 11 bis 15 Werktagen

Kurzübersicht für Ki-67 ELISA Kit (ABIN5524359)

Target

Alle Ki-67 (MKI67) ELISA Kits anzeigen
Ki-67 (MKI67) (Antigen Identified By Monoclonal Antibody Ki-67 (MKI67))

Reaktivität

  • 10
  • 3
  • 2
Human

Nachweismethode

Colorimetric

Methodentyp

Sandwich ELISA

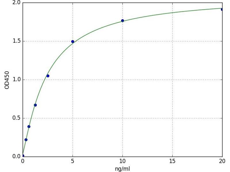
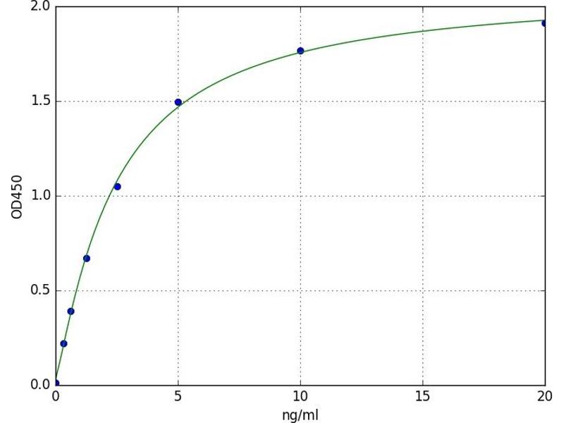
Detektionsbereich

0.313 ng/mL - 20 ng/mL

Applikation

ELISA

Proben

Plasma, Serum, Tissue Homogenate
  • Untere Nachweisgrenze

    0.313 ng/mL

    Verwendungszweck

    For quantitative detection of MKI67 in serum, plasma, tissue homogenates.

    Analytische Methode

    Quantitative

    Spezifität

    This assay has high sensitivity and excellent specificity for detection of MKI67. No significant cross-reactivity or interference between MKI67 and analogues was observed. Note: Limited by current skills and knowledge, it is difficult for us to complete the cross-reactivity detection between MKI67 and all the analogues, therefore, cross reaction may still exist.

    Sensitivität

    0.188 ng/mL

    Bestandteile

    - ELISA Microplate
    - Lyophilized Standard
    - Sample / Standard Dilution Buffer
    - Biotin-labeled Antibody (Concentrated)
    - Antibody Dilution Buffer
    - HRP-Streptavidin Conjugate(SABC)
    - SABC Dilution Buffer
    - TMB Substrate
    - Stop Solution
    - Wash Buffer (25X)
    - Plate Sealer
    - Product Description
  • Applikationshinweise

    Optimal working dilution should be determined by the investigator.

    Kommentare

    Sandwich ELISA, Double Antibody

    Probenmenge

    100 μL

    Plattentyp

    Pre-coated

    Beschränkungen

    Nur für Forschungszwecke einsetzbar
  • Lagerung

    4 °C

    Informationen zur Lagerung

    1. For unopened kit: All the reagents should be kept according to the labels on vials. The Reference Standard and the 96-well stripe plate should be stored at -20 °C upon receipt while the other reagents should be stored at 4 °C.
    2. For used kit: When the kit is used, the remaining reagents need to be stored according to the above storage condition. Besides, please return the unused wells to the foil pouch containing the desiccant pack, and zip-seal the foil pouch.

    Haltbarkeit

    6 months
  • Target Alle Ki-67 (MKI67) ELISA Kits anzeigen

    Ki-67 (MKI67) (Antigen Identified By Monoclonal Antibody Ki-67 (MKI67))

    Andere Bezeichnung

    MKI67

    Hintergrund

    MKI67/Antigen KI-67/Ki-67/KIA/TSG126/antigen identified by monoclonal Ki-67/KIA/proliferation-related Ki-67 antigen

    UniProt

    P46013

    Pathways

    Glycosaminoglycan Metabolic Process
Sie sind hier:
Chat with us!