Telefon:
+49 (0)241 95 163 153
Fax:
+49 (0)241 95 163 155
E-Mail:
orders@antikoerper-online.de

Liver Arginase ELISA Kit

Dieses Colorimetric ELISA kit dient der quantitativen Messung von Maus Liver Arginase.
Produktnummer ABIN5524066
481,54 €
Zzgl. Versandkosten 20,00 € und MwSt
96 tests
Lieferung nach: Deutschland
Lieferung in 11 bis 15 Werktagen

Kurzübersicht für Liver Arginase ELISA Kit (ABIN5524066)

Target

Alle Liver Arginase (ARG1) ELISA Kits anzeigen
Liver Arginase (ARG1) (Arginase, Liver (ARG1))

Reaktivität

  • 9
  • 7
  • 4
  • 2
  • 2
  • 2
  • 1
  • 1
  • 1
  • 1
  • 1
  • 1
Maus

Nachweismethode

Colorimetric

Methodentyp

Sandwich ELISA

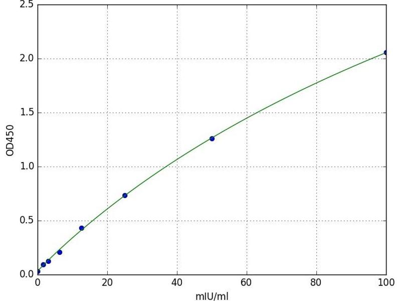
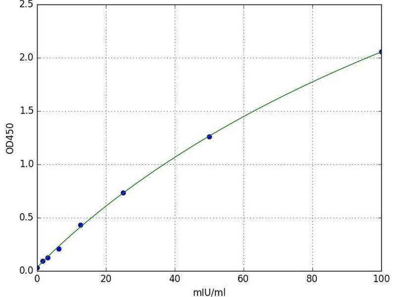
Detektionsbereich

1.563 mIU/mL - 100 mIU/mL

Applikation

ELISA

Proben

Plasma, Serum, Tissue Homogenate
  • Untere Nachweisgrenze

    1.563 mIU/mL

    Verwendungszweck

    For quantitative detection of Arg1 in serum, plasma, tissue homogenates.

    Analytische Methode

    Quantitative

    Spezifität

    This assay has high sensitivity and excellent specificity for detection of Arg1. No significant cross-reactivity or interference between Arg1 and analogues was observed. Note: Limited by current skills and knowledge, it is difficult for us to complete the cross-reactivity detection between Arg1 and all the analogues, therefore, cross reaction may still exist.

    Sensitivität

    0.938 mIU/mL

    Bestandteile

    - ELISA Microplate
    - Lyophilized Standard
    - Sample / Standard Dilution Buffer
    - Biotin-labeled Antibody (Concentrated)
    - Antibody Dilution Buffer
    - HRP-Streptavidin Conjugate(SABC)
    - SABC Dilution Buffer
    - TMB Substrate
    - Stop Solution
    - Wash Buffer (25X)
    - Plate Sealer
    - Product Description
  • Applikationshinweise

    Optimal working dilution should be determined by the investigator.

    Kommentare

    Sandwich ELISA, Double Antibody

    Probenmenge

    100 μL

    Plattentyp

    Pre-coated

    Beschränkungen

    Nur für Forschungszwecke einsetzbar
  • Lagerung

    4 °C

    Informationen zur Lagerung

    1. For unopened kit: All the reagents should be kept according to the labels on vials. The Reference Standard and the 96-well stripe plate should be stored at -20 °C upon receipt while the other reagents should be stored at 4 °C.
    2. For used kit: When the kit is used, the remaining reagents need to be stored according to the above storage condition. Besides, please return the unused wells to the foil pouch containing the desiccant pack, and zip-seal the foil pouch.

    Haltbarkeit

    6 months
  • Target Alle Liver Arginase (ARG1) ELISA Kits anzeigen

    Liver Arginase (ARG1) (Arginase, Liver (ARG1))

    Andere Bezeichnung

    Arg1

    Hintergrund

    Arg1/(Arginase-1)/Liver Arginase/Liver-type arginase/Type I arginase

    UniProt

    Q61176

    Pathways

    Cellular Response to Molecule of Bacterial Origin
Sie sind hier:
Chat with us!