GRP78 ELISA Kit
Kurzübersicht für GRP78 ELISA Kit (ABIN5523858)
Target
Alle GRP78 (HSPA5) ELISA Kits anzeigenReaktivität
Nachweismethode
Methodentyp
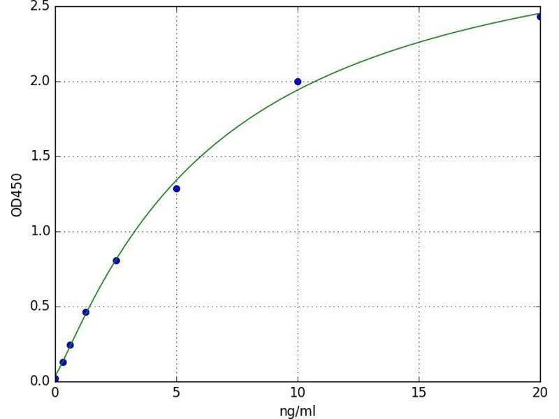
Detektionsbereich
Applikation
Proben
-
-
Untere Nachweisgrenze
- 0.31 ng/mL
-
Verwendungszweck
- For quantitative detection in serum, plasma, tissue homogenates and other biological fluids.
-
Analytische Methode
- Quantitative
-
Spezifität
- Hspa5/GRP-78/Grp78/Steroidogenesis-activator polypeptide/Heat shock 70 kDa protein 5/Immunoglobulin heavy chain-binding protein(BiP)
-
Sensitivität
- 0.188 ng/mL
-
Bestandteile
-
- ELISA Microplate
- Lyophilized Standard
- Sample / Standard Dilution Buffer
- Biotin-labeled Antibody (Concentrated)
- Antibody Dilution Buffer
- HRP-Streptavidin Conjugate(SABC)
- SABC Dilution Buffer
- TMB Substrate
- Stop Solution
- Wash Buffer (25X)
- Plate Sealer
- Product Description
-
-
-
-
Applikationshinweise
- Optimal working dilution should be determined by the investigator.
-
Kommentare
-
Sandwich ELISA, Double Antibody
-
Probenmenge
- 100 μL
-
Plattentyp
- Pre-coated
-
Beschränkungen
- Nur für Forschungszwecke einsetzbar
-
-
-
Lagerung
- 4 °C
-
Informationen zur Lagerung
- 4 °C for 6 months
-
Haltbarkeit
- 6 months
-
-
- GRP78 (HSPA5) (Heat Shock 70kDa Protein 5 (Glucose-Regulated Protein, 78kDa) (HSPA5))
-
Andere Bezeichnung
- Hspa5
-
Hintergrund
- Hspa5/GRP-78/Grp78/Steroidogenesis-activator polypeptide/Heat shock 70 kDa protein 5/Immunoglobulin heavy chain-binding protein(BiP)
-
UniProt
- P06761
-
Pathways
- Thyroid Hormone Synthesis, ER-Nucleus Signaling
Target Alle GRP78 (HSPA5) ELISA Kits anzeigen
-