Telefon:
+49 (0)241 95 163 153
Fax:
+49 (0)241 95 163 155
E-Mail:
orders@antikoerper-online.de

ESM1 ELISA Kit

Human ESM1 ELISA Kit, Colorimetric Assay für die Quantifizierung von Human ESM1.
Produktnummer ABIN5523720
481,54 €
Zzgl. Versandkosten 20,00 € und MwSt
96 tests
Lieferung nach: Deutschland
Lieferung in 11 bis 15 Werktagen

Kurzübersicht für ESM1 ELISA Kit (ABIN5523720)

Target

Alle ESM1 ELISA Kits anzeigen
ESM1 (Endothelial Cell-Specific Molecule 1 (ESM1))

Reaktivität

  • 12
  • 8
  • 5
  • 1
  • 1
  • 1
  • 1
  • 1
  • 1
  • 1
  • 1
  • 1
Human

Nachweismethode

Colorimetric

Methodentyp

Sandwich ELISA

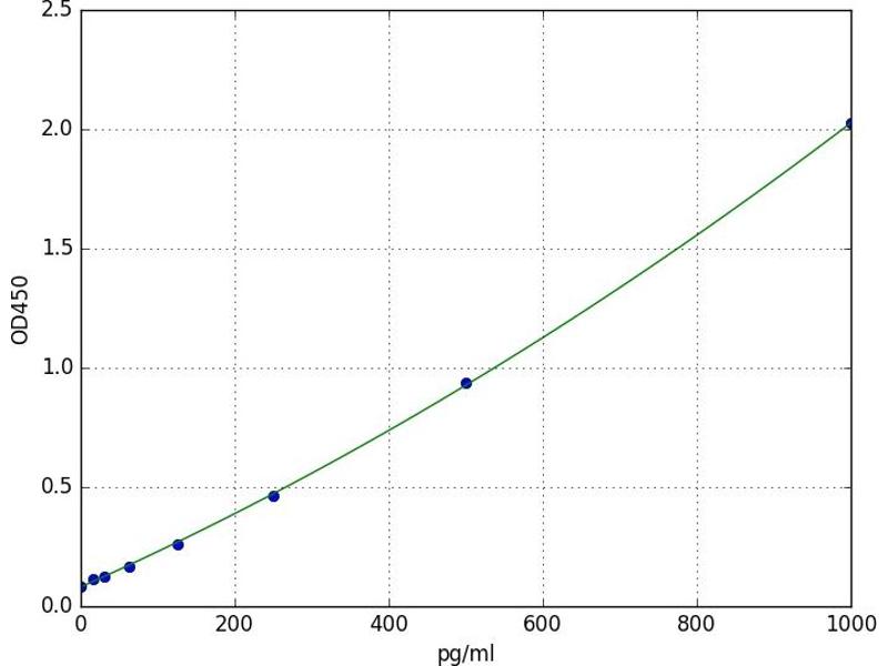
Detektionsbereich

15.625 pg/mL - 1000 pg/mL

Applikation

ELISA

Proben

Plasma, Serum, Tissue Homogenate
  • Untere Nachweisgrenze

    15.625 pg/mL

    Verwendungszweck

    For quantitative detection of ESM1 in serum, plasma, tissue homogenates.

    Analytische Methode

    Quantitative

    Spezifität

    This assay has high sensitivity and excellent specificity for detection of ESM1. No significant cross-reactivity or interference between ESM1 and analogues was observed. Note: Limited by current skills and knowledge, it is difficult for us to complete the cross-reactivity detection between ESM1 and all the analogues, therefore, cross reaction may still exist.

    Sensitivität

    9.375 pg/mL

    Bestandteile

    - ELISA Microplate
    - Lyophilized Standard
    - Sample / Standard Dilution Buffer
    - Biotin-labeled Antibody (Concentrated)
    - Antibody Dilution Buffer
    - HRP-Streptavidin Conjugate(SABC)
    - SABC Dilution Buffer
    - TMB Substrate
    - Stop Solution
    - Wash Buffer (25X)
    - Plate Sealer
    - Product Description
  • Applikationshinweise

    Optimal working dilution should be determined by the investigator.

    Kommentare

    Sandwich ELISA, Double Antibody

    Probenmenge

    100 μL

    Plattentyp

    Pre-coated

    Beschränkungen

    Nur für Forschungszwecke einsetzbar
  • Lagerung

    4 °C

    Informationen zur Lagerung

    1. For unopened kit: All the reagents should be kept according to the labels on vials. The Reference Standard and the 96-well stripe plate should be stored at -20 °C upon receipt while the other reagents should be stored at 4 °C.
    2. For used kit: When the kit is used, the remaining reagents need to be stored according to the above storage condition. Besides, please return the unused wells to the foil pouch containing the desiccant pack, and zip-seal the foil pouch.

    Haltbarkeit

    6 months
  • Target Alle ESM1 ELISA Kits anzeigen

    ESM1 (Endothelial Cell-Specific Molecule 1 (ESM1))

    Andere Bezeichnung

    ESM1

    Hintergrund

    ESM1(Endothelial Cell Specific Molecule 1)/Endocan/ESM-1/IGFBP-rp6

    UniProt

    Q9NQ30

    Pathways

    Growth Factor Binding
Sie sind hier:
Chat with us!