Telefon:
+49 (0)241 95 163 153
Fax:
+49 (0)241 95 163 155
E-Mail:
orders@antikoerper-online.de

NAMPT ELISA Kit

Dieses Colorimetric ELISA kit dient der quantitativen Messung von Human NAMPT.
Produktnummer ABIN5523691
481,54 €
Zzgl. Versandkosten 20,00 € und MwSt
96 tests
Lieferung nach: Deutschland
Lieferung in 11 bis 15 Werktagen

Kurzübersicht für NAMPT ELISA Kit (ABIN5523691)

Target

Alle NAMPT ELISA Kits anzeigen
NAMPT (Nicotinamide phosphoribosyltransferase (NAMPT))

Reaktivität

  • 22
  • 6
  • 5
  • 2
  • 2
  • 2
  • 1
  • 1
  • 1
  • 1
  • 1
  • 1
  • 1
Human

Nachweismethode

Colorimetric

Methodentyp

Sandwich ELISA

Detektionsbereich

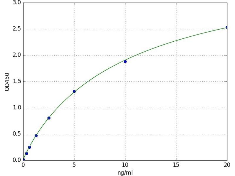
0.313 ng/mL - 20 ng/mL

Applikation

ELISA

Proben

Plasma, Serum, Tissue Homogenate
  • Untere Nachweisgrenze

    0.313 ng/mL

    Verwendungszweck

    For quantitative detection of NAMPT in serum, plasma, tissue homogenates.

    Analytische Methode

    Quantitative

    Spezifität

    This assay has high sensitivity and excellent specificity for detection of NAMPT. No significant cross-reactivity or interference between NAMPT and analogues was observed. Note: Limited by current skills and knowledge, it is difficult for us to complete the cross-reactivity detection between NAMPT and all the analogues, therefore, cross reaction may still exist.

    Sensitivität

    0.188 ng/mL

    Bestandteile

    - ELISA Microplate
    - Lyophilized Standard
    - Sample / Standard Dilution Buffer
    - Biotin-labeled Antibody (Concentrated)
    - Antibody Dilution Buffer
    - HRP-Streptavidin Conjugate(SABC)
    - SABC Dilution Buffer
    - TMB Substrate
    - Stop Solution
    - Wash Buffer (25X)
    - Plate Sealer
    - Product Description
  • Applikationshinweise

    Optimal working dilution should be determined by the investigator.

    Kommentare

    Sandwich ELISA, Double Antibody

    Probenmenge

    100 μL

    Plattentyp

    Pre-coated

    Beschränkungen

    Nur für Forschungszwecke einsetzbar
  • Lagerung

    4 °C

    Informationen zur Lagerung

    1. For unopened kit: All the reagents should be kept according to the labels on vials. The Reference Standard and the 96-well stripe plate should be stored at -20 °C upon receipt while the other reagents should be stored at 4 °C.
    2. For used kit: When the kit is used, the remaining reagents need to be stored according to the above storage condition. Besides, please return the unused wells to the foil pouch containing the desiccant pack, and zip-seal the foil pouch.

    Haltbarkeit

    6 months
  • Target Alle NAMPT ELISA Kits anzeigen

    NAMPT (Nicotinamide phosphoribosyltransferase (NAMPT))

    Andere Bezeichnung

    NAMPT

    Hintergrund

    VF(Visfatin)/NAMPT/NAmPRTase/NMPRTase/PBEF1/Visfatin/NAmPRTase/Nampt/nicotinamide phosphoribosyltransferase/Pre-B cell-enhancing factor/pre-B-cell colony enhancing factor 1/Pre-B-cell colony-enhancing factor 1/VISFATIN/Visfatin/PBEF

    UniProt

    P43490
Sie sind hier:
Chat with us!