Telefon:
+49 (0)241 95 163 153
Fax:
+49 (0)241 95 163 155
E-Mail:
orders@antikoerper-online.de

NRF2 ELISA Kit

Das Human NRF2 ELISA Kit (ABIN5523542) ist ein Colorimetric ELISA Kit zur Detektion von Human NRF2.
Produktnummer ABIN5523542
481,54 €
Zzgl. Versandkosten 20,00 € und MwSt
96 tests
Lieferung nach: Deutschland
Lieferung in 11 bis 15 Werktagen

Kurzübersicht für NRF2 ELISA Kit (ABIN5523542)

Target

Alle NRF2 (NFE2L2) ELISA Kits anzeigen
NRF2 (NFE2L2) (Nuclear Factor (erythroid-Derived 2)-Like 2 (NFE2L2))

Reaktivität

  • 13
  • 9
  • 6
  • 2
  • 1
  • 1
  • 1
  • 1
  • 1
  • 1
  • 1
  • 1
Human

Nachweismethode

Colorimetric

Methodentyp

Sandwich ELISA

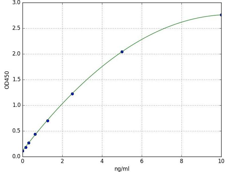
Detektionsbereich

0.156 ng/mL - 10 ng/mL

Applikation

ELISA

Proben

Plasma, Serum, Tissue Homogenate
  • Untere Nachweisgrenze

    0.156 ng/mL

    Verwendungszweck

    For quantitative detection of NFE2L2 in serum, plasma, tissue homogenates.

    Analytische Methode

    Quantitative

    Spezifität

    This assay has high sensitivity and excellent specificity for detection of NFE2L2. No significant cross-reactivity or interference between NFE2L2 and analogues was observed. Note: Limited by current skills and knowledge, it is difficult for us to complete the cross-reactivity detection between NFE2L2 and all the analogues, therefore, cross reaction may still exist.

    Sensitivität

    0.094 ng/mL

    Bestandteile

    - ELISA Microplate
    - Lyophilized Standard
    - Sample / Standard Dilution Buffer
    - Biotin-labeled Antibody (Concentrated)
    - Antibody Dilution Buffer
    - HRP-Streptavidin Conjugate(SABC)
    - SABC Dilution Buffer
    - TMB Substrate
    - Stop Solution
    - Wash Buffer (25X)
    - Plate Sealer
    - Product Description
  • Applikationshinweise

    Optimal working dilution should be determined by the investigator.

    Kommentare

    Sandwich ELISA, Double Antibody

    Probenmenge

    100 μL

    Plattentyp

    Pre-coated

    Beschränkungen

    Nur für Forschungszwecke einsetzbar
  • Lagerung

    4 °C

    Informationen zur Lagerung

    1. For unopened kit: All the reagents should be kept according to the labels on vials. The Reference Standard and the 96-well stripe plate should be stored at -20 °C upon receipt while the other reagents should be stored at 4 °C.
    2. For used kit: When the kit is used, the remaining reagents need to be stored according to the above storage condition. Besides, please return the unused wells to the foil pouch containing the desiccant pack, and zip-seal the foil pouch.

    Haltbarkeit

    6 months
  • Target Alle NRF2 (NFE2L2) ELISA Kits anzeigen

    NRF2 (NFE2L2) (Nuclear Factor (erythroid-Derived 2)-Like 2 (NFE2L2))

    Andere Bezeichnung

    NFE2L2

    Hintergrund

    NFE2L2/HEBP1/NF-E2-related factor 2/NFE2-related factor 2/NRF2erythroid derived 2, like 2/nuclear factor(erythroid-derived 2)-like 2/nuclear factor erythroid 2-related factor 2/nuclear factor erythroid-derived 2-like 2

    UniProt

    Q16236

    Pathways

    ER-Nucleus Signaling, Negative Regulation of intrinsic apoptotic Signaling
Sie sind hier:
Chat with us!