Telefon:
+49 (0)241 95 163 153
Fax:
+49 (0)241 95 163 155
E-Mail:
orders@antikoerper-online.de

MMP13 ELISA Kit

Human MMP13 ELISA Kit, Colorimetric Assay für die Quantifizierung von Human MMP13.
Produktnummer ABIN5523519
481,54 €
Zzgl. Versandkosten 20,00 € und MwSt
96 tests
Lieferung nach: Deutschland
Lieferung in 11 bis 15 Werktagen

Kurzübersicht für MMP13 ELISA Kit (ABIN5523519)

Target

Alle MMP13 ELISA Kits anzeigen
MMP13 (Matrix Metallopeptidase 13 (Collagenase 3) (MMP13))

Reaktivität

  • 16
  • 8
  • 7
  • 7
  • 5
  • 2
  • 2
  • 2
  • 1
  • 1
  • 1
  • 1
  • 1
Human

Nachweismethode

Colorimetric

Methodentyp

Sandwich ELISA

Detektionsbereich

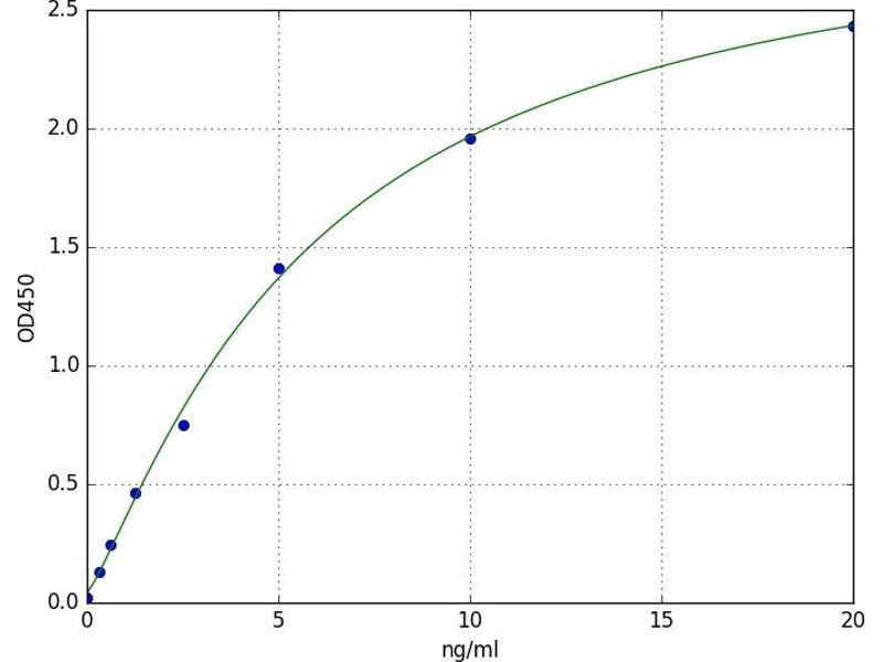
0.156 ng/mL - 10 ng/mL

Applikation

ELISA

Proben

Plasma, Serum, Tissue Homogenate
  • Untere Nachweisgrenze

    0.156 ng/mL

    Verwendungszweck

    For quantitative detection of MMP13 in serum, plasma, tissue homogenates.

    Analytische Methode

    Quantitative

    Spezifität

    This assay has high sensitivity and excellent specificity for detection of MMP13. No significant cross- reactivity or interference between MMP13 and analogues was observed. Note: Limited by current skills and knowledge, it is difficult for us to complete the cross-reactivity detection between MMP13 and all the analogues, therefore, cross reaction may still exist.

    Sensitivität

    0.094 ng/mL

    Bestandteile

    - ELISA Microplate
    - Lyophilized Standard
    - Sample / Standard Dilution Buffer
    - Biotin-labeled Antibody (Concentrated)
    - Antibody Dilution Buffer
    - HRP-Streptavidin Conjugate(SABC)
    - SABC Dilution Buffer
    - TMB Substrate
    - Stop Solution
    - Wash Buffer (25X)
    - Plate Sealer
    - Product Description
  • Applikationshinweise

    Optimal working dilution should be determined by the investigator.

    Kommentare

    Sandwich ELISA, Double Antibody

    Probenmenge

    100 μL

    Plattentyp

    Pre-coated

    Beschränkungen

    Nur für Forschungszwecke einsetzbar
  • Lagerung

    4 °C

    Informationen zur Lagerung

    1. For unopened kit: All the reagents should be kept according to the labels on vials. The Reference Standard and the 96-well stripe plate should be stored at -20 °C upon receipt while the other reagents should be stored at 4 °C.
    2. For used kit: When the kit is used, the remaining reagents need to be stored according to the above storage condition. Besides, please return the unused wells to the foil pouch containing the desiccant pack, and zip-seal the foil pouch.

    Haltbarkeit

    6 months
  • Target Alle MMP13 ELISA Kits anzeigen

    MMP13 (Matrix Metallopeptidase 13 (Collagenase 3) (MMP13))

    Andere Bezeichnung

    MMP13

    Hintergrund

    MMP-13(Matrix Metalloproteinase 13)/MMP-13/CLG3/MANDP1/Collagenase 3

    UniProt

    P45452
Sie sind hier:
Chat with us!