Telefon:
+49 (0)241 95 163 153
Fax:
+49 (0)241 95 163 155
E-Mail:
orders@antikoerper-online.de

Luteinizing Hormone ELISA Kit

Das Maus Luteinizing Hormone ELISA Kit (ABIN5523389) ist ein Colorimetric ELISA Kit zur Detektion von Maus Luteinizing Hormone.
Produktnummer ABIN5523389
481,54 €
Zzgl. Versandkosten 20,00 € und MwSt
96 tests
Lieferung nach: Deutschland
Lieferung in 11 bis 15 Werktagen

Kurzübersicht für Luteinizing Hormone ELISA Kit (ABIN5523389)

Target

Alle Luteinizing Hormone (LH) ELISA Kits anzeigen
Luteinizing Hormone (LH)

Reaktivität

  • 7
  • 6
  • 6
  • 5
  • 4
  • 3
  • 3
  • 3
  • 3
  • 3
  • 3
  • 1
  • 1
  • 1
Maus

Nachweismethode

Colorimetric

Methodentyp

Competition ELISA

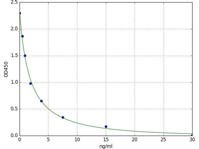
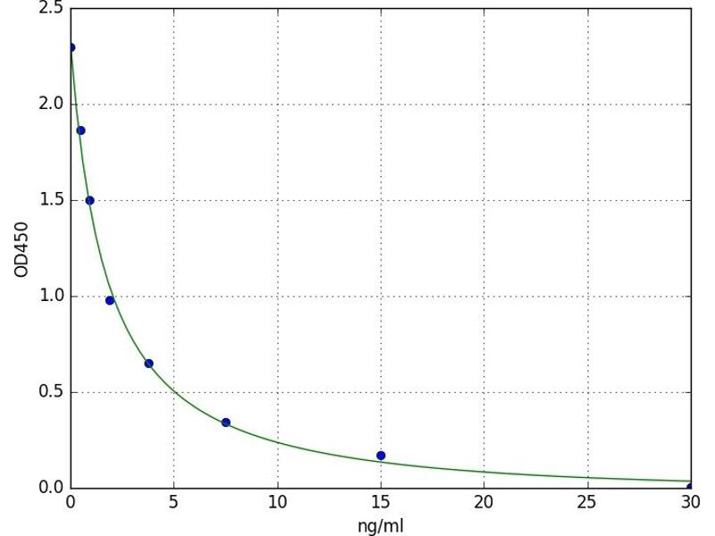
Detektionsbereich

0.469 ng/mL - 30 ng/mL

Applikation

ELISA

Proben

Plasma, Serum, Tissue Homogenate
  • Untere Nachweisgrenze

    0.469 ng/mL

    Verwendungszweck

    For quantitative detection of LH in serum, plasma, tissue homogenates.

    Analytische Methode

    Quantitative

    Spezifität

    This assay has high sensitivity and excellent specificity for detection of LH. No significant cross-reactivity or interference between LH and analogues was observed. Note: Limited by current skills and knowledge, it is difficult for us to complete the cross-reactivity detection between LH and all the analogues, therefore, cross reaction may still exist.

    Sensitivität

    0.281 ng/mL

    Bestandteile

    - ELISA Microplate
    - Lyophilized Standard
    - Sample / Standard Dilution Buffer
    - Biotin-labeled Antibody (Concentrated)
    - Antibody Dilution Buffer
    - HRP-Streptavidin Conjugate(SABC)
    - SABC Dilution Buffer
    - TMB Substrate
    - Stop Solution
    - Wash Buffer (25X)
    - Plate Sealer
    - Product Description
  • Applikationshinweise

    Optimal working dilution should be determined by the investigator.

    Kommentare

    Competitive ELISA, Coated with Antigen

    Probenmenge

    50 μL

    Plattentyp

    Pre-coated

    Beschränkungen

    Nur für Forschungszwecke einsetzbar
  • Lagerung

    4 °C

    Informationen zur Lagerung

    1. For unopened kit: All the reagents should be kept according to the labels on vials. The Reference Standard and the 96-well stripe plate should be stored at -20 °C upon receipt while the other reagents should be stored at 4 °C.
    2. For used kit: When the kit is used, the remaining reagents need to be stored according to the above storage condition. Besides, please return the unused wells to the foil pouch containing the desiccant pack, and zip-seal the foil pouch.

    Haltbarkeit

    6 months
  • Target Alle Luteinizing Hormone (LH) ELISA Kits anzeigen

    Luteinizing Hormone (LH)

    Andere Bezeichnung

    Luteinizing Hormone

    Substanzklasse

    Hormone

    Hintergrund

    LH(Luteinizing Hormone)/Lutropin/Lutrophin
Sie sind hier:
Chat with us!