Telefon:
+49 (0)241 95 163 153
Fax:
+49 (0)241 95 163 155
E-Mail:
orders@antikoerper-online.de

Fibrinogen ELISA Kit

Human Fibrinogen ELISA Kit, Colorimetric Assay für die Quantifizierung von Human Fibrinogen und es wurde in 2+ Publikationen zitiert.
Produktnummer ABIN5523345
481,54 €
Zzgl. Versandkosten 20,00 € und MwSt
96 tests
Lieferung nach: Deutschland
Lieferung in 11 bis 15 Werktagen

Kurzübersicht für Fibrinogen ELISA Kit (ABIN5523345)

Target

Alle Fibrinogen ELISA Kits anzeigen
Fibrinogen

Reaktivität

  • 13
  • 9
  • 7
  • 4
  • 4
  • 3
  • 2
  • 1
  • 1
  • 1
  • 1
  • 1
  • 1
Human

Nachweismethode

Colorimetric

Methodentyp

Sandwich ELISA

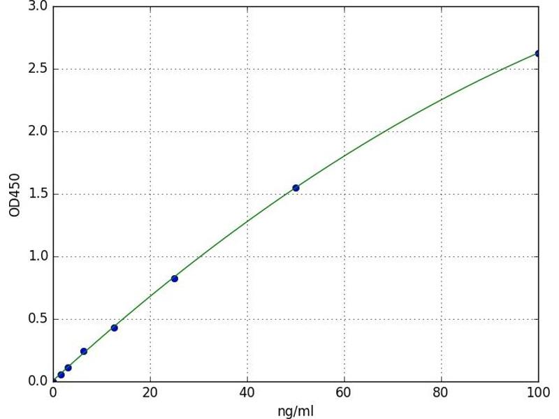
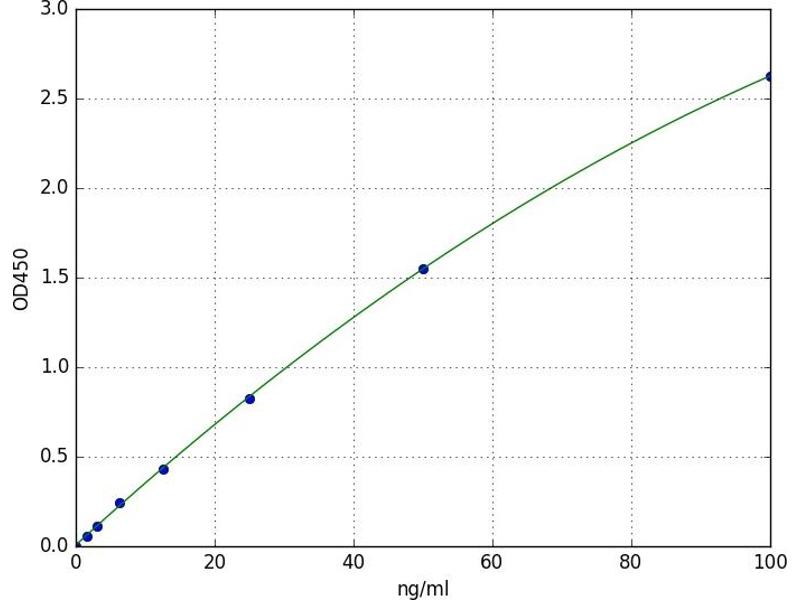
Detektionsbereich

1.563 ng/mL - 100 ng/mL

Applikation

ELISA

Proben

Plasma, Serum, Tissue Homogenate
  • Untere Nachweisgrenze

    1.563 ng/mL

    Verwendungszweck

    For quantitative detection of FG in serum, plasma, tissue homogenates.

    Analytische Methode

    Quantitative

    Spezifität

    This assay has high sensitivity and excellent specificity for detection of FG. No significant cross-reactivity or interference between FG and analogues was observed. Note: Limited by current skills and knowledge, it is difficult for us to complete the cross-reactivity detection between FG and all the analogues, therefore, cross reaction may still exist.

    Sensitivität

    0.938 ng/mL

    Bestandteile

    - ELISA Microplate
    - Lyophilized Standard
    - Sample / Standard Dilution Buffer
    - Biotin-labeled Antibody (Concentrated)
    - Antibody Dilution Buffer
    - HRP-Streptavidin Conjugate(SABC)
    - SABC Dilution Buffer
    - TMB Substrate
    - Stop Solution
    - Wash Buffer (25X)
    - Plate Sealer
    - Product Description
  • Applikationshinweise

    Optimal working dilution should be determined by the investigator.

    Kommentare

    Sandwich ELISA, Double Antibody

    Probenmenge

    100 μL

    Plattentyp

    Pre-coated

    Beschränkungen

    Nur für Forschungszwecke einsetzbar
  • Lagerung

    4 °C

    Informationen zur Lagerung

    1. For unopened kit: All the reagents should be kept according to the labels on vials. The Reference Standard and the 96-well stripe plate should be stored at -20 °C upon receipt while the other reagents should be stored at 4 °C.
    2. For used kit: When the kit is used, the remaining reagents need to be stored according to the above storage condition. Besides, please return the unused wells to the foil pouch containing the desiccant pack, and zip-seal the foil pouch.

    Haltbarkeit

    6 months
  • Amadio, Porro, Sandrini, Fiorelli, Bonomi, Cavalca, Brambilla, Camera, Veglia, Tremoli, Barbieri: "Patho- physiological role of BDNF in fibrin clotting." in: Scientific reports, Vol. 9, Issue 1, pp. 389, (2019) (PubMed).

    Miners, Schulz, Love: "Differing associations between Aβ accumulation, hypoperfusion, blood-brain barrier dysfunction and loss of PDGFRB pericyte marker in the precuneus and parietal white matter in Alzheimer's disease." in: Journal of cerebral blood flow and metabolism : official journal of the International Society of Cerebral Blood Flow and Metabolism, Vol. 38, Issue 1, pp. 103-115, (2018) (PubMed).

  • Target Alle Fibrinogen ELISA Kits anzeigen

    Fibrinogen

    Hintergrund

    FG
Sie sind hier:
Chat with us!