Telefon:
+49 (0)241 95 163 153
Fax:
+49 (0)241 95 163 155
E-Mail:
orders@antikoerper-online.de

BACE1 ELISA Kit

Dieses Colorimetric ELISA kit dient der quantitativen Messung von Ratte BACE1.
Produktnummer ABIN5522911
481,54 €
Zzgl. Versandkosten 20,00 € und MwSt
96 tests
Lieferung nach: Deutschland
Lieferung in 11 bis 15 Werktagen

Kurzübersicht für BACE1 ELISA Kit (ABIN5522911)

Target

Alle BACE1 ELISA Kits anzeigen
BACE1 (Beta-secretase 1 (BACE1))

Reaktivität

  • 9
  • 7
  • 4
  • 2
  • 1
  • 1
  • 1
  • 1
  • 1
  • 1
  • 1
  • 1
Ratte

Nachweismethode

Colorimetric

Methodentyp

Sandwich ELISA

Detektionsbereich

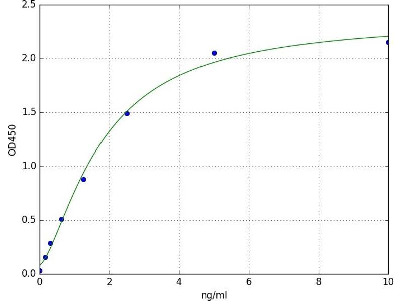
0.15 ng/mL - 10 ng/mL

Applikation

ELISA

Proben

Plasma, Serum, Tissue Homogenate
  • Untere Nachweisgrenze

    0.15 ng/mL

    Verwendungszweck

    For quantitative detection in serum, plasma, tissue homogenates and other biological fluids.

    Analytische Methode

    Quantitative

    Spezifität

    BACE1/APP beta-secretase/ASP2/Aspartyl protease 2/BACEAsp 2/beta-secretase 1/beta-secretase 1 precursor variant 1/beta-site amyloid beta A4 precursor protein-cleaving enzyme/Beta-site amyloid precursor protein cleaving enzyme 1/Beta-site APP cleaving enzy

    Sensitivität

    0.094 ng/mL

    Bestandteile

    - ELISA Microplate
    - Lyophilized Standard
    - Sample / Standard Dilution Buffer
    - Biotin-labeled Antibody (Concentrated)
    - Antibody Dilution Buffer
    - HRP-Streptavidin Conjugate(SABC)
    - SABC Dilution Buffer
    - TMB Substrate
    - Stop Solution
    - Wash Buffer (25X)
    - Plate Sealer
    - Product Description
  • Applikationshinweise

    Optimal working dilution should be determined by the investigator.

    Kommentare

    Sandwich ELISA, Double Antibody

    Probenmenge

    100 μL

    Plattentyp

    Pre-coated

    Beschränkungen

    Nur für Forschungszwecke einsetzbar
  • Lagerung

    4 °C

    Informationen zur Lagerung

    4 °C for 6 months

    Haltbarkeit

    6 months
  • Target Alle BACE1 ELISA Kits anzeigen

    BACE1 (Beta-secretase 1 (BACE1))

    Andere Bezeichnung

    BACE1

    Hintergrund

    BACE1/APP beta-secretase/ASP2/Aspartyl protease 2/BACEAsp 2/beta-secretase 1/beta-secretase 1 precursor variant 1/beta-site amyloid beta A4 precursor protein-cleaving enzyme/Beta-site amyloid precursor protein cleaving enzyme 1/Beta-site APP cleaving enzy

    UniProt

    P56819
Sie sind hier:
Chat with us!