Telefon:
+49 (0)241 95 163 153
Fax:
+49 (0)241 95 163 155
E-Mail:
orders@antikoerper-online.de

ACA-IgA ELISA Kit

Das Maus ACA-IgA ELISA Kit (ABIN5522876) ist ein Colorimetric ELISA Kit zur Detektion von Maus ACA-IgA.
Produktnummer ABIN5522876
601,54 €
Zzgl. Versandkosten 20,00 € und MwSt
96 tests
Lieferung nach: Deutschland
Lieferung in 11 bis 15 Werktagen

Kurzübersicht für ACA-IgA ELISA Kit (ABIN5522876)

Target

Alle ACA-IgA Produkte
ACA-IgA (Anti-Cardiolipin Antibody IgA (ACA-IgA))

Reaktivität

  • 2
  • 2
  • 1
  • 1
  • 1
  • 1
  • 1
  • 1
  • 1
  • 1
  • 1
  • 1
Maus

Nachweismethode

Colorimetric

Methodentyp

Sandwich ELISA

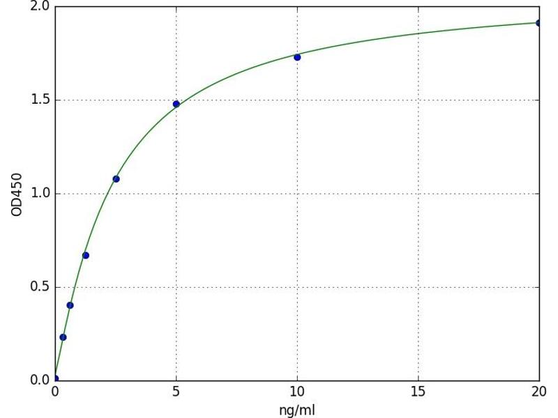
Detektionsbereich

0.313 ng/mL - 20 ng/mL

Applikation

ELISA

Proben

Plasma, Serum, Tissue Homogenate
  • Untere Nachweisgrenze

    0.313 ng/mL

    Verwendungszweck

    For quantitative detection of ACA-IgA in serum, plasma, tissue homogenates.

    Analytische Methode

    Quantitative

    Spezifität

    This assay has high sensitivity and excellent specificity for detection of ACA-IgA. No significant cross- reactivity or interference between ACA-IgA and analogues was observed. Note: Limited by current skills and knowledge, it is difficult for us to complete the cross-reactivity detection between ACA-IgA and all the analogues, therefore, cross reaction may still exist.

    Sensitivität

    0.188 ng/mL

    Bestandteile

    - ELISA Microplate
    - Lyophilized Standard
    - Sample / Standard Dilution Buffer
    - Biotin-labeled Antibody (Concentrated)
    - Antibody Dilution Buffer
    - HRP-Streptavidin Conjugate(SABC)
    - SABC Dilution Buffer
    - TMB Substrate
    - Stop Solution
    - Wash Buffer (25X)
    - Plate Sealer
    - Product Description

    Benötigtes Material

    - Microplate reader (wavelength: 450nm)
    - 37 °C incubator
    - Automated plate washer
    - Precision single and multi-channel pipette and disposable tips
    - Clean tubes and Eppendorf tubes
    - Deionized or distilled water
  • Applikationshinweise

    Optimal working dilution should be determined by the investigator.

    Kommentare

    Sandwich ELISA, Double Antigen

    Probenmenge

    100 μL

    Plattentyp

    Pre-coated

    Beschränkungen

    Nur für Forschungszwecke einsetzbar
  • Lagerung

    4 °C

    Informationen zur Lagerung

    1. For unopened kit: All the reagents should be kept according to the labels on vials. The Reference Standard and the 96-well stripe plate should be stored at -20 °C upon receipt while the other reagents should be stored at 4 °C.
    2. For used kit: When the kit is used, the remaining reagents need to be stored according to the above storage condition. Besides, please return the unused wells to the foil pouch containing the desiccant pack, and zip-seal the foil pouch.

    Haltbarkeit

    6 months
  • Target Alle ACA-IgA Produkte

    ACA-IgA (Anti-Cardiolipin Antibody IgA (ACA-IgA))

    Andere Bezeichnung

    Anti-Cardiolipin Antibody IgA

    Substanzklasse

    Antibody

    Hintergrund

    ACA-IgA/anti-Cardiolipin Antibody IgA
Sie sind hier:
Chat with us!