Telefon:
+49 (0)241 95 163 153
Fax:
+49 (0)241 95 163 155
E-Mail:
orders@antikoerper-online.de

Serotonin ELISA Kit

Das Human Serotonin ELISA Kit (ABIN5522747) ist ein Colorimetric ELISA Kit zur Detektion von Human Serotonin.
Produktnummer ABIN5522747
481,54 €
Zzgl. Versandkosten 20,00 € und MwSt
96 tests
Lieferung nach: Deutschland
Lieferung in 11 bis 15 Werktagen

Kurzübersicht für Serotonin ELISA Kit (ABIN5522747)

Target

Alle Serotonin (5-HT) ELISA Kits anzeigen
Serotonin (5-HT) (5-Hydroxytryptamine (5-HT))

Reaktivität

  • 4
  • 3
  • 3
  • 3
  • 3
  • 2
  • 1
  • 1
  • 1
  • 1
  • 1
  • 1
  • 1
  • 1
Human

Nachweismethode

Colorimetric

Methodentyp

Competition ELISA

Detektionsbereich

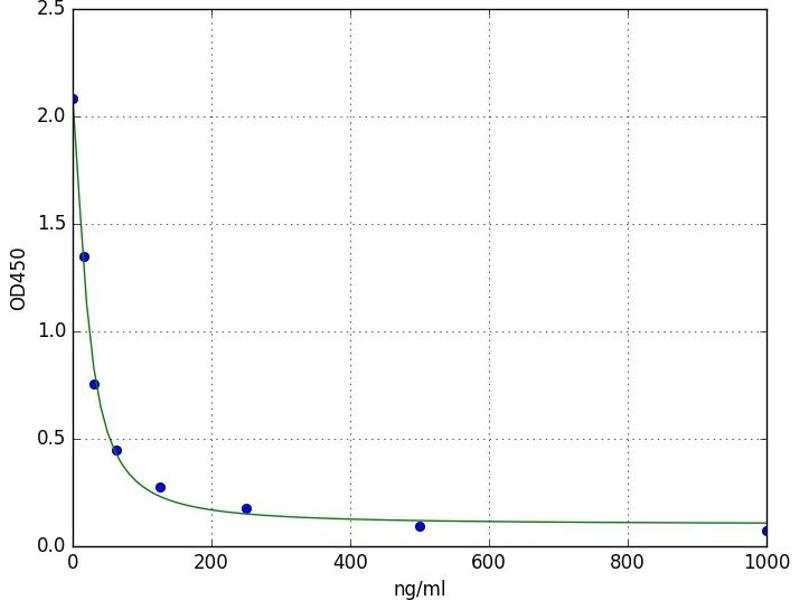
15.63 ng/mL - 1000 ng/mL

Applikation

ELISA

Proben

Plasma, Serum, Tissue Homogenate
  • Untere Nachweisgrenze

    15.63 ng/mL

    Verwendungszweck

    For quantitative detection in serum, plasma, tissue homogenates and other biological fluids.

    Analytische Methode

    Quantitative

    Sensitivität

    7.5 ng/mL

    Bestandteile

    - ELISA Microplate
    - Lyophilized Standard
    - Sample / Standard Dilution Buffer
    - Biotin-labeled Antibody (Concentrated)
    - Antibody Dilution Buffer
    - HRP-Streptavidin Conjugate(SABC)
    - SABC Dilution Buffer
    - TMB Substrate
    - Stop Solution
    - Wash Buffer (25X)
    - Plate Sealer
    - Product Description
  • Applikationshinweise

    Optimal working dilution should be determined by the investigator.

    Kommentare

    Competitive ELISA, Coated with Antigen

    Probenmenge

    50 μL

    Plattentyp

    Pre-coated

    Beschränkungen

    Nur für Forschungszwecke einsetzbar
  • Lagerung

    4 °C

    Informationen zur Lagerung

    4 °C for 6 months

    Haltbarkeit

    6 months
  • Target Alle Serotonin (5-HT) ELISA Kits anzeigen

    Serotonin (5-HT) (5-Hydroxytryptamine (5-HT))

    Andere Bezeichnung

    5-hydroxytryptamine

    Substanzklasse

    Chemical

    Hintergrund

    ST/5-HT(Serotonin/5-Hydroxytryptamine)
Sie sind hier:
Chat with us!