Telefon:
+49 (0)241 95 163 153
Fax:
+49 (0)241 95 163 155
E-Mail:
orders@antikoerper-online.de

Interleukin 35 ELISA Kit

Das Human Interleukin 35 ELISA Kit (ABIN5522513) ist ein Colorimetric ELISA Kit zur Detektion von Human Interleukin 35. Das Kit wurde in 1 Publikation zitiert.
Produktnummer ABIN5522513
481,54 €
Zzgl. Versandkosten 20,00 € und MwSt
96 tests
Lieferung nach: Deutschland
Lieferung in 11 bis 15 Werktagen

Kurzübersicht für Interleukin 35 ELISA Kit (ABIN5522513)

Target

Alle Interleukin 35 (IL35) ELISA Kits anzeigen
Interleukin 35 (IL35)

Reaktivität

  • 7
  • 6
  • 3
  • 1
  • 1
  • 1
  • 1
  • 1
  • 1
  • 1
  • 1
  • 1
Human

Nachweismethode

Colorimetric

Methodentyp

Sandwich ELISA

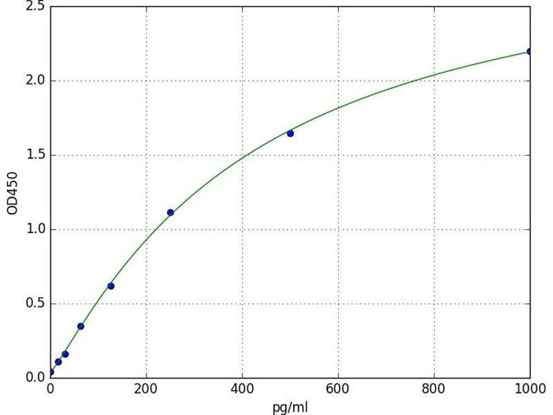
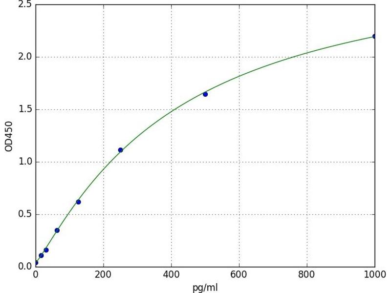
Detektionsbereich

15.625 pg/mL - 1000 pg/mL

Applikation

ELISA

Proben

Plasma, Serum, Tissue Homogenate
  • Untere Nachweisgrenze

    15.625 pg/mL

    Verwendungszweck

    For quantitative detection of IL-35 in serum, plasma, tissue homogenates.

    Analytische Methode

    Quantitative

    Spezifität

    This assay has high sensitivity and excellent specificity for detection of IL-35. No significant cross-reactivity or interference between IL-35 and analogues was observed. Note: Limited by current skills and knowledge, it is difficult for us to complete the cross-reactivity detection between IL-35 and all the analogues, therefore, cross reaction may still exist.

    Sensitivität

    9.375 pg/mL

    Bestandteile

    - ELISA Microplate
    - Lyophilized Standard
    - Sample / Standard Dilution Buffer
    - Biotin-labeled Antibody (Concentrated)
    - Antibody Dilution Buffer
    - HRP-Streptavidin Conjugate(SABC)
    - SABC Dilution Buffer
    - TMB Substrate
    - Stop Solution
    - Wash Buffer (25X)
    - Plate Sealer
    - Product Description
  • Applikationshinweise

    Optimal working dilution should be determined by the investigator.

    Kommentare

    Sandwich ELISA, Double Antibody

    Probenmenge

    100 μL

    Plattentyp

    Pre-coated

    Beschränkungen

    Nur für Forschungszwecke einsetzbar
  • Lagerung

    4 °C

    Informationen zur Lagerung

    1. For unopened kit: All the reagents should be kept according to the labels on vials. The Reference Standard and the 96-well stripe plate should be stored at -20 °C upon receipt while the other reagents should be stored at 4 °C.
    2. For used kit: When the kit is used, the remaining reagents need to be stored according to the above storage condition. Besides, please return the unused wells to the foil pouch containing the desiccant pack, and zip-seal the foil pouch.

    Haltbarkeit

    6 months
  • Raj, Panda, Dash, Patnaik, Mohanty, Katti, Mahapatra, Mishra, Praharaj: "Association of Human Interleukin-35 Level in Gingival Crevicular Fluid and Serum in Periodontal Health, Disease, and after Nonsurgical Therapy: A Comparative Study." in: Contemporary clinical dentistry, Vol. 9, Issue 2, pp. 293-297 (PubMed).

  • Target Alle Interleukin 35 (IL35) ELISA Kits anzeigen

    Interleukin 35 (IL35)

    Andere Bezeichnung

    IL-35

    Hintergrund

    IL-35(Interleukin 35)
Sie sind hier:
Chat with us!