Telefon:
+49 (0)241 95 163 153
Fax:
+49 (0)241 95 163 155
E-Mail:
orders@antikoerper-online.de

Hyaluronic Acid ELISA Kit

Diverse Spezies Hyaluronic Acid ELISA Kit, Colorimetric Assay für die Quantifizierung von Diverse Spezies Hyaluronic Acid und es wurde in 1 Publikation zitiert.
Produktnummer ABIN5522100
481,54 €
Zzgl. Versandkosten 20,00 € und MwSt
96 tests
Lieferung nach: Deutschland
Lieferung in 11 bis 15 Werktagen

Kurzübersicht für Hyaluronic Acid ELISA Kit (ABIN5522100)

Target

Alle Hyaluronic Acid (HA) ELISA Kits anzeigen
Hyaluronic Acid (HA)

Reaktivität

  • 4
  • 3
  • 2
  • 2
  • 1
  • 1
  • 1
  • 1
  • 1
  • 1
  • 1
  • 1
  • 1
Diverse Spezies

Nachweismethode

Colorimetric

Methodentyp

Competition ELISA

Detektionsbereich

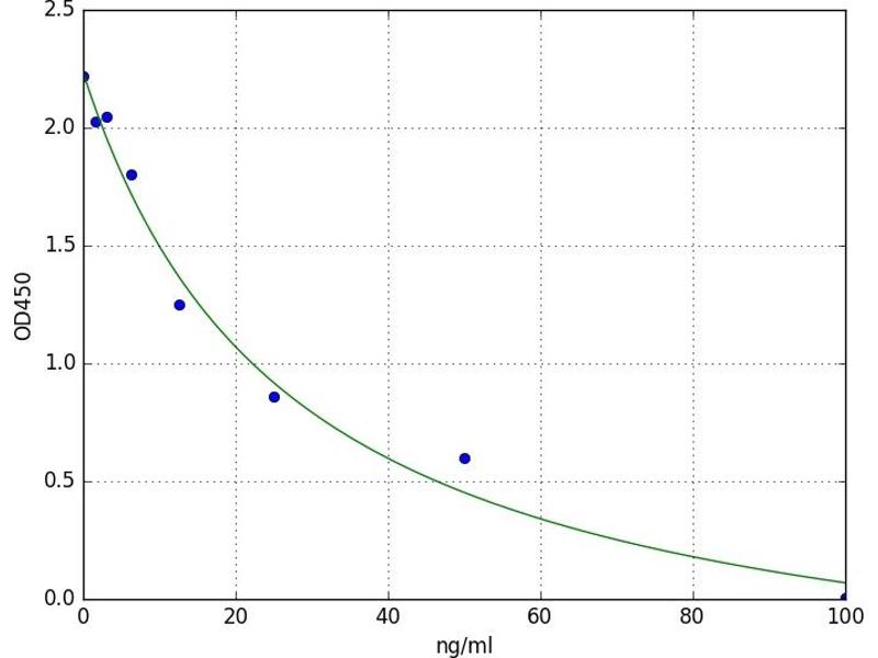
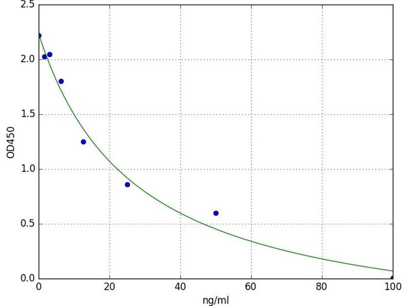
1.56 ng/mL - 100 ng/mL

Applikation

ELISA

Proben

Cell Culture Supernatant, Cell Lysate, Plasma, Serum, Tissue Lysate
  • Untere Nachweisgrenze

    1.56 ng/mL

    Verwendungszweck

    For quantitative detection in serum, plasma, tissue homogenates and other biological fluids.

    Analytische Methode

    Quantitative

    Spezifität

    HA(Hyaluronic Acid)

    Sensitivität

    0.938 ng/mL

    Bestandteile

    • Pre-coated, ready to use 96-well strip plate
    • Plate sealer for 96 wells
    • Standard
    • Standard Dilution Buffer
    • Biotin-labeled Antibody (Lyophilized)
    • Purified water
    • Antibody Dilution Buffer
    • HRP-Streptavidin Conjugate (SABC)
    • SABC Dilution Buffer
    • TMB Substrate
    • Stop Solution
    • Wash Buffer (25 x concentrate)
    • Instruction manual
  • Applikationshinweise

    Optimal working dilution should be determined by the investigator.

    Kommentare

    Competitive ELISA, Coated with Antigen

    Probenmenge

    50 μL

    Plattentyp

    Pre-coated

    Beschränkungen

    Nur für Forschungszwecke einsetzbar
  • Lagerung

    4 °C

    Informationen zur Lagerung

    4 °C for 6 months

    Haltbarkeit

    6 months
  • Hao, Chen, Zhi, Zhang, Chen, Yu: "Comparison of bone marrow-vs. adipose tissue-derived mesenchymal stem cells for attenuating liver fibrosis." in: Experimental and therapeutic medicine, Vol. 14, Issue 6, pp. 5956-5964, (2017) (PubMed).

  • Target Alle Hyaluronic Acid (HA) ELISA Kits anzeigen

    Hyaluronic Acid (HA)

    Andere Bezeichnung

    Hyaluronic Acid

    Substanzklasse

    Chemical

    Hintergrund

    HA(Hyaluronic Acid)
Sie sind hier:
Chat with us!