Telefon:
+49 (0)241 95 163 153
Fax:
+49 (0)241 95 163 155
E-Mail:
orders@antikoerper-online.de

Sestrin 2 ELISA Kit

Human Sestrin 2 ELISA Kit, Colorimetric Assay für die Quantifizierung von Human Sestrin 2 und es wurde in 2+ Publikationen zitiert.
Produktnummer ABIN5521614
481,54 €
Zzgl. Versandkosten 20,00 € und MwSt
96 tests
Lieferung nach: Deutschland
Lieferung in 11 bis 15 Werktagen

Kurzübersicht für Sestrin 2 ELISA Kit (ABIN5521614)

Target

Alle Sestrin 2 (SESN2) ELISA Kits anzeigen
Sestrin 2 (SESN2)

Reaktivität

  • 3
  • 3
  • 1
Human

Nachweismethode

Colorimetric

Methodentyp

Sandwich ELISA

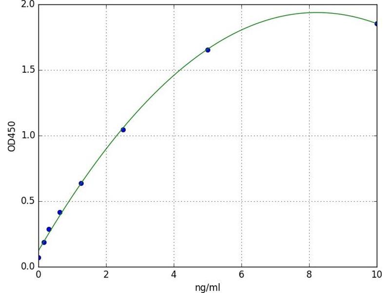
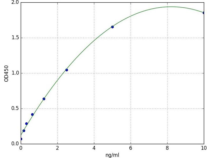
Detektionsbereich

0.156 ng/mL - 10 ng/mL

Applikation

ELISA

Proben

Plasma, Serum, Tissue Homogenate
  • Untere Nachweisgrenze

    0.156 ng/mL

    Verwendungszweck

    For quantitative detection of SESN2 in serum, plasma, tissue homogenates.

    Analytische Methode

    Quantitative

    Spezifität

    This assay has high sensitivity and excellent specificity for detection of SESN2. No significant cross-reactivity or interference between SESN2 and analogues was observed. Note: Limited by current skills and knowledge, it is difficult for us to complete the cross-reactivity detection between SESN2 and all the analogues, therefore, cross reaction may still exist.

    Sensitivität

    0.094 ng/mL

    Bestandteile

    - ELISA Microplate
    - Lyophilized Standard
    - Sample / Standard Dilution Buffer
    - Biotin-labeled Antibody (Concentrated)
    - Antibody Dilution Buffer
    - HRP-Streptavidin Conjugate(SABC)
    - SABC Dilution Buffer
    - TMB Substrate
    - Stop Solution
    - Wash Buffer (25X)
    - Plate Sealer
    - Product Description
  • Applikationshinweise

    Optimal working dilution should be determined by the investigator.

    Kommentare

    Sandwich ELISA, Double Antibody

    Probenmenge

    100 μL

    Plattentyp

    Pre-coated

    Beschränkungen

    Nur für Forschungszwecke einsetzbar
  • Lagerung

    4 °C

    Informationen zur Lagerung

    1. For unopened kit: All the reagents should be kept according to the labels on vials. The Reference Standard and the 96-well stripe plate should be stored at -20 °C upon receipt while the other reagents should be stored at 4 °C.
    2. For used kit: When the kit is used, the remaining reagents need to be stored according to the above storage condition. Besides, please return the unused wells to the foil pouch containing the desiccant pack, and zip-seal the foil pouch.

    Haltbarkeit

    6 months
  • Mohany, Al Rugaie: "Association of serum sestrin 2 and betatrophin with serum neutrophil gelatinase associated lipocalin levels in type 2 diabetic patients with diabetic nephropathy." in: Journal of diabetes and metabolic disorders, Vol. 19, Issue 1, pp. 249-256, (2020) (PubMed).

    Tayyar, Tayyar, Kozali, Karakus, Eser, Abide Yayla, Yalcin, Dag, Eroglu: "Maternal serum sestrin 2 levels in preeclampsia and their relationship with the severity of the disease." in: Hypertension in pregnancy, Vol. 38, Issue 1, pp. 13-19, (2019) (PubMed).

  • Target Alle Sestrin 2 (SESN2) ELISA Kits anzeigen

    Sestrin 2 (SESN2)

    Andere Bezeichnung

    SESN2

    Hintergrund

    SESN2/Sestrin-2/Hi95/SEST2

    UniProt

    P58004
Sie sind hier:
Chat with us!