Telefon:
+49 (0)241 95 163 153
Fax:
+49 (0)241 95 163 155
E-Mail:
orders@antikoerper-online.de

Pro BDNF ELISA Kit

Das Human Pro BDNF ELISA Kit (ABIN5521205) ist ein Colorimetric ELISA Kit zur Detektion von Human Pro BDNF.
Produktnummer ABIN5521205
481,54 €
Zzgl. Versandkosten 20,00 € und MwSt
96 tests
Lieferung nach: Deutschland
Lieferung in 11 bis 15 Werktagen

Kurzübersicht für Pro BDNF ELISA Kit (ABIN5521205)

Target

Alle Pro BDNF (proBDNF) Produkte
Pro BDNF (proBDNF) (Pro-Brain-Derived Neurotrophic Factor (proBDNF))

Reaktivität

  • 1
  • 1
Human

Nachweismethode

Colorimetric

Methodentyp

Sandwich ELISA

Detektionsbereich

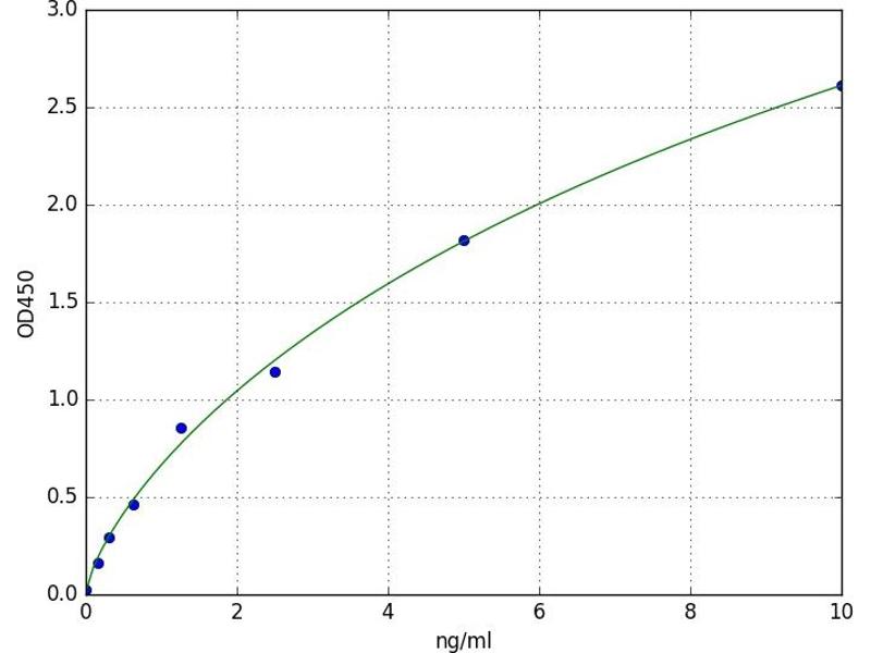
0.15 ng/mL - 10 ng/mL

Applikation

ELISA

Proben

Plasma, Serum, Tissue Homogenate
  • Untere Nachweisgrenze

    0.15 ng/mL

    Verwendungszweck

    For quantitative detection in serum, plasma, tissue homogenates and other biological fluids.

    Analytische Methode

    Quantitative

    Spezifität

    Brain-derived neurotrophic factor isoform a preproprotein

    Sensitivität

    0.094 ng/mL

    Bestandteile

    - ELISA Microplate
    - Lyophilized Standard
    - Sample / Standard Dilution Buffer
    - Biotin-labeled Antibody (Concentrated)
    - Antibody Dilution Buffer
    - HRP-Streptavidin Conjugate(SABC)
    - SABC Dilution Buffer
    - TMB Substrate
    - Stop Solution
    - Wash Buffer (25X)
    - Plate Sealer
    - Product Description
  • Applikationshinweise

    Optimal working dilution should be determined by the investigator.

    Kommentare

    Sandwich ELISA, Double Antibody

    Probenmenge

    100 μL

    Plattentyp

    Pre-coated

    Beschränkungen

    Nur für Forschungszwecke einsetzbar
  • Lagerung

    4 °C

    Informationen zur Lagerung

    4 °C for 6 months

    Haltbarkeit

    6 months
  • Target Alle Pro BDNF (proBDNF) Produkte

    Pro BDNF (proBDNF) (Pro-Brain-Derived Neurotrophic Factor (proBDNF))

    Andere Bezeichnung

    pro-BDNF

    Hintergrund

    Brain-derived neurotrophic factor isoform a preproprotein

    UniProt

    P23560
Sie sind hier:
Chat with us!