Telefon:
+49 (0)241 95 163 153
Fax:
+49 (0)241 95 163 155
E-Mail:
orders@antikoerper-online.de

TTG IgG ELISA Kit

Dieses Colorimetric ELISA kit dient der quantitativen Messung von Human TTG IgG.
Produktnummer ABIN5521162
601,54 €
Zzgl. Versandkosten 20,00 € und MwSt
96 tests
Lieferung nach: Deutschland
Lieferung in 11 bis 15 Werktagen

Kurzübersicht für TTG IgG ELISA Kit (ABIN5521162)

Target

TTG IgG (Anti-Tissue Transglutaminase IgG (TTG IgG))

Reaktivität

Human

Nachweismethode

Colorimetric

Methodentyp

Competition ELISA

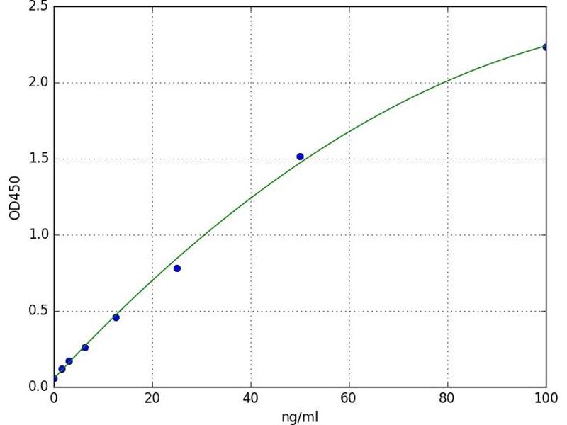
Detektionsbereich

1.56 ng/mL - 100 ng/mL

Applikation

ELISA

Proben

Plasma, Tissue Homogenate
  • Untere Nachweisgrenze

    1.56 ng/mL

    Verwendungszweck

    ELISA Kit allows for the in vitro quantitative determination of concentrations in plasma, tissue homogenates and other biological fluids.

    Analytische Methode

    Quantitative

    Sensitivität

    0.938 ng/mL

    Bestandteile

    - ELISA Microplate
    - Lyophilized Standard
    - Sample / Standard Dilution Buffer
    - Biotin-labeled Antibody (Concentrated)
    - Antibody Dilution Buffer
    - HRP-Streptavidin Conjugate(SABC)
    - SABC Dilution Buffer
    - TMB Substrate
    - Stop Solution
    - Wash Buffer (25X)
    - Plate Sealer
    - Product Description

    Benötigtes Material

    - Microplate reader (wavelength: 450nm)
    - 37 °C incubator
    - Automated plate washer
    - Precision single and multi-channel pipette and disposable tips
    - Clean tubes and Eppendorf tubes
    - Deionized or distilled water
  • Applikationshinweise

    Optimal working dilution should be determined by the investigator.

    Kommentare

    Indirect ELISA

    Probenmenge

    100 μL

    Plattentyp

    Pre-coated

    Beschränkungen

    Nur für Forschungszwecke einsetzbar
  • Lagerung

    4 °C

    Informationen zur Lagerung

    4 °C for 6 months

    Haltbarkeit

    6 months
  • Target

    TTG IgG (Anti-Tissue Transglutaminase IgG (TTG IgG))

    Andere Bezeichnung

    Anti-tissue transglutaminase IgG

    Substanzklasse

    Antibody, Antibody
Sie sind hier:
Chat with us!