Telefon:
+49 (0)241 95 163 153
Fax:
+49 (0)241 95 163 155
E-Mail:
orders@antikoerper-online.de

IL-22 ELISA Kit

Human IL-22 ELISA Kit, Colorimetric Assay für die Quantifizierung von Human IL-22.
Produktnummer ABIN5520960
481,54 €
Zzgl. Versandkosten 20,00 € und MwSt
96 tests
Lieferung nach: Deutschland
Lieferung in 11 bis 15 Werktagen

Kurzübersicht für IL-22 ELISA Kit (ABIN5520960)

Target

Alle IL-22 (IL22) ELISA Kits anzeigen
IL-22 (IL22) (Interleukin 22 (IL22))

Reaktivität

  • 17
  • 11
  • 5
  • 4
  • 3
  • 3
  • 3
  • 2
  • 2
  • 1
  • 1
  • 1
Human

Nachweismethode

Colorimetric

Methodentyp

Sandwich ELISA

Detektionsbereich

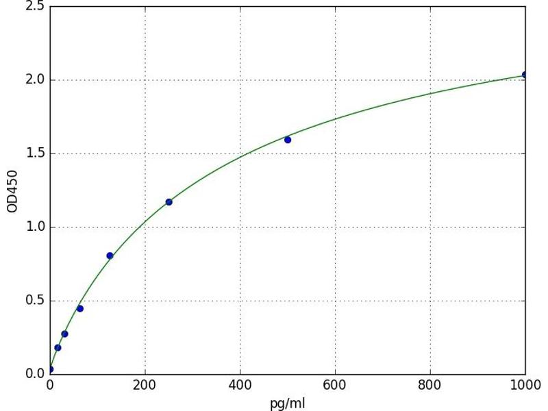
15.625 pg/mL - 1000 pg/mL

Applikation

ELISA

Proben

Plasma, Serum, Tissue Homogenate
  • Untere Nachweisgrenze

    15.625 pg/mL

    Verwendungszweck

    For quantitative detection of IL-22 in serum, plasma, tissue homogenates.

    Analytische Methode

    Quantitative

    Spezifität

    This assay has high sensitivity and excellent specificity for detection of IL-22. No significant cross-reactivity or interference between IL-22 and analogues was observed. Note: Limited by current skills and knowledge, it is difficult for us to complete the cross-reactivity detection between IL-22 and all the analogues, therefore, cross reaction may still exist.

    Sensitivität

    9.375 pg/mL

    Bestandteile

    - ELISA Microplate
    - Lyophilized Standard
    - Sample / Standard Dilution Buffer
    - Biotin-labeled Antibody (Concentrated)
    - Antibody Dilution Buffer
    - HRP-Streptavidin Conjugate(SABC)
    - SABC Dilution Buffer
    - TMB Substrate
    - Stop Solution
    - Wash Buffer (25X)
    - Plate Sealer
    - Product Description
  • Applikationshinweise

    Optimal working dilution should be determined by the investigator.

    Kommentare

    Sandwich ELISA, Double Antibody

    Probenmenge

    100 μL

    Plattentyp

    Pre-coated

    Beschränkungen

    Nur für Forschungszwecke einsetzbar
  • Lagerung

    4 °C

    Informationen zur Lagerung

    1. For unopened kit: All the reagents should be kept according to the labels on vials. The Reference Standard and the 96-well stripe plate should be stored at -20 °C upon receipt while the other reagents should be stored at 4 °C.
    2. For used kit: When the kit is used, the remaining reagents need to be stored according to the above storage condition. Besides, please return the unused wells to the foil pouch containing the desiccant pack, and zip-seal the foil pouch.

    Haltbarkeit

    6 months
  • Target Alle IL-22 (IL22) ELISA Kits anzeigen

    IL-22 (IL22) (Interleukin 22 (IL22))

    Andere Bezeichnung

    IL-22

    Hintergrund

    IL-22/IL22/IL-D110/IL-TIF/ILTIF/TIFIL-23/TIFa/zcyto18

    UniProt

    Q9GZX6
Sie sind hier:
Chat with us!