Telefon:
+49 (0)241 95 163 153
Fax:
+49 (0)241 95 163 155
E-Mail:
orders@antikoerper-online.de

PGE2 ELISA Kit

Diverse Spezies PGE2 ELISA Kit, Colorimetric Assay für die Quantifizierung von Diverse Spezies PGE2.
Produktnummer ABIN5520492
481,54 €
Zzgl. Versandkosten 20,00 € und MwSt
96 tests
Lieferung nach: Deutschland
Lieferung in 11 bis 15 Werktagen

Kurzübersicht für PGE2 ELISA Kit (ABIN5520492)

Target

Alle PGE2 ELISA Kits anzeigen
PGE2 (Prostaglandin E2 (PGE2))

Reaktivität

  • 8
  • 5
  • 4
  • 4
  • 2
  • 2
  • 2
  • 2
  • 1
  • 1
  • 1
  • 1
  • 1
Diverse Spezies

Nachweismethode

Colorimetric

Methodentyp

Competition ELISA

Detektionsbereich

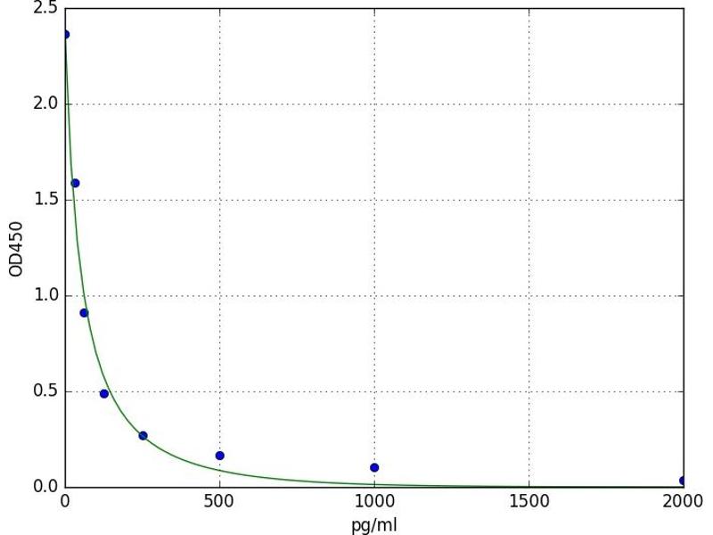
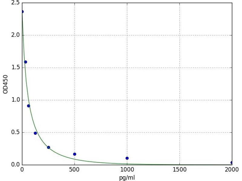
31.25 pg/mL - 2000 pg/mL

Applikation

ELISA

Proben

Plasma, Serum, Tissue Homogenate
  • Untere Nachweisgrenze

    31.25 pg/mL

    Verwendungszweck

    For quantitative detection in serum, plasma, tissue homogenates and other biological fluids.

    Analytische Methode

    Quantitative

    Spezifität

    PGE2(Prostaglandin E2)

    Sensitivität

    18.75 pg/mL

    Bestandteile

    - ELISA Microplate
    - Lyophilized Standard
    - Sample / Standard Dilution Buffer
    - Biotin-labeled Antibody (Concentrated)
    - Antibody Dilution Buffer
    - HRP-Streptavidin Conjugate(SABC)
    - SABC Dilution Buffer
    - TMB Substrate
    - Stop Solution
    - Wash Buffer (25X)
    - Plate Sealer
    - Product Description
  • Applikationshinweise

    Optimal working dilution should be determined by the investigator.

    Kommentare

    Competitive ELISA, Coated with Antigen

    Probenmenge

    50 μL

    Plattentyp

    Pre-coated

    Beschränkungen

    Nur für Forschungszwecke einsetzbar
  • Lagerung

    4 °C

    Informationen zur Lagerung

    4 °C for 6 months

    Haltbarkeit

    6 months
  • Target Alle PGE2 ELISA Kits anzeigen

    PGE2 (Prostaglandin E2 (PGE2))

    Andere Bezeichnung

    PGE2

    Hintergrund

    PGE2(Prostaglandin E2)
Sie sind hier:
Chat with us!