Telefon:
+49 (0)241 95 163 153
Fax:
+49 (0)241 95 163 155
E-Mail:
orders@antikoerper-online.de

12-Hydroxyeicosatetraenoic Acid ELISA Kit

Human 12-Hydroxyeicosatetraenoic Acid ELISA Kit, Colorimetric Assay für die Quantifizierung von Human 12-Hydroxyeicosatetraenoic Acid.
Produktnummer ABIN5520240
601,54 €
Zzgl. Versandkosten 20,00 € und MwSt
96 tests
Lieferung nach: Deutschland
Lieferung in 11 bis 15 Werktagen

Kurzübersicht für 12-Hydroxyeicosatetraenoic Acid ELISA Kit (ABIN5520240)

Target

12-Hydroxyeicosatetraenoic Acid

Reaktivität

  • 2
  • 1
  • 1
  • 1
  • 1
  • 1
  • 1
  • 1
  • 1
  • 1
  • 1
  • 1
  • 1
Human

Nachweismethode

Colorimetric

Methodentyp

Competition ELISA

Detektionsbereich

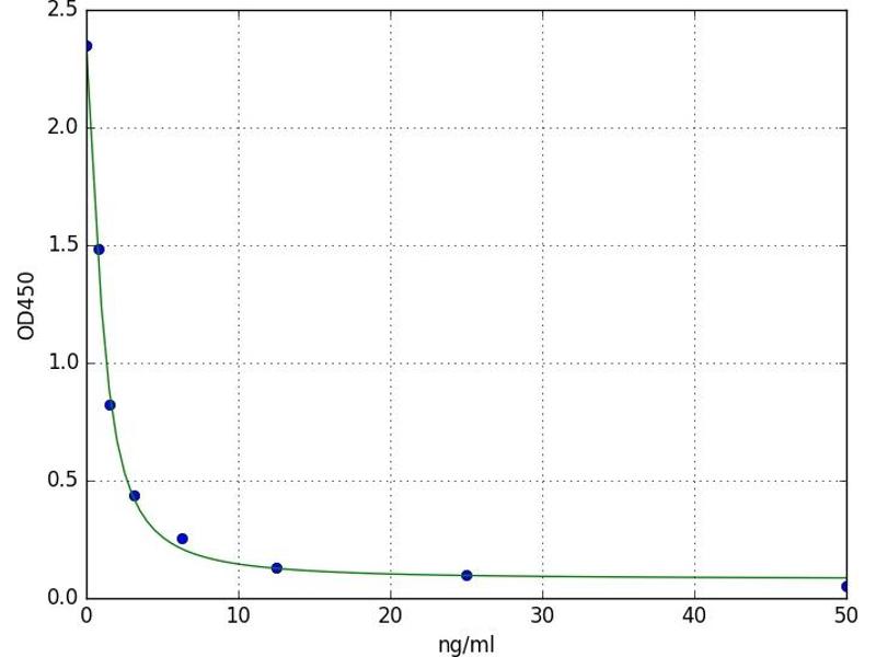
0.313 ng/mL - 20 ng/mL

Applikation

ELISA

Proben

Plasma, Serum, Tissue Homogenate
  • Untere Nachweisgrenze

    0.313 ng/mL

    Verwendungszweck

    For quantitative detection of 12-HETE in serum, plasma, tissue homogenates.

    Analytische Methode

    Quantitative

    Spezifität

    This assay has high sensitivity and excellent specificity for detection of 12-HETE. No significant cross- reactivity or interference between 12-HETE and analogues was observed. Note: Limited by current skills and knowledge, it is difficult for us to complete the cross-reactivity detection between 12-HETE and all the analogues, therefore, cross reaction may still exist.

    Sensitivität

    0.188 ng/mL

    Bestandteile

    - ELISA Microplate
    - Lyophilized Standard
    - Sample / Standard Dilution Buffer
    - Biotin-labeled Antibody (Concentrated)
    - Antibody Dilution Buffer
    - HRP-Streptavidin Conjugate(SABC)
    - SABC Dilution Buffer
    - TMB Substrate
    - Stop Solution
    - Wash Buffer (25X)
    - Plate Sealer
    - Product Description

    Benötigtes Material

    - Microplate reader (wavelength: 450nm)
    - 37 °C incubator
    - Automated plate washer
    - Precision single and multi-channel pipette and disposable tips
    - Clean tubes and Eppendorf tubes
    - Deionized or distilled water
  • Applikationshinweise

    Optimal working dilution should be determined by the investigator.

    Kommentare

    Competitive ELISA, Coated with Antigen

    Probenmenge

    50 μL

    Plattentyp

    Pre-coated

    Beschränkungen

    Nur für Forschungszwecke einsetzbar
  • Lagerung

    4 °C

    Informationen zur Lagerung

    1. For unopened kit: All the reagents should be kept according to the labels on vials. The Reference Standard and the 96-well stripe plate should be stored at -20 °C upon receipt while the other reagents should be stored at 4 °C.
    2. For used kit: When the kit is used, the remaining reagents need to be stored according to the above storage condition. Besides, please return the unused wells to the foil pouch containing the desiccant pack, and zip-seal the foil pouch.

    Haltbarkeit

    6 months
  • Target

    12-Hydroxyeicosatetraenoic Acid

    Andere Bezeichnung

    12-HETE

    Hintergrund

    12-HETE(12-Hydroxyeicosatetraenoic Acid)
Sie sind hier:
Chat with us!