Telefon:
+49 (0)241 95 163 153
Fax:
+49 (0)241 95 163 155
E-Mail:
orders@antikoerper-online.de

Troponin T ELISA Kit

Dieses Colorimetric ELISA kit dient der quantitativen Messung von Ratte Troponin T. Es wurde in 1 Publikation zitiert.
Produktnummer ABIN5519635
481,54 €
Zzgl. Versandkosten 20,00 € und MwSt
96 tests
Lieferung nach: Deutschland
Lieferung in 11 bis 15 Werktagen

Kurzübersicht für Troponin T ELISA Kit (ABIN5519635)

Target

Alle Troponin T (Tn T) ELISA Kits anzeigen
Troponin T (Tn T)

Reaktivität

  • 2
  • 2
  • 2
  • 1
  • 1
Ratte

Nachweismethode

Colorimetric

Methodentyp

Sandwich ELISA

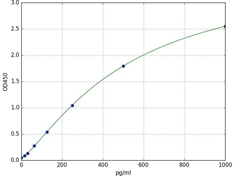
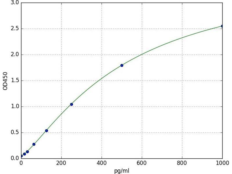
Detektionsbereich

15.63 pg/mL - 1000 pg/mL

Applikation

ELISA

Proben

Plasma, Serum, Tissue Homogenate
  • Untere Nachweisgrenze

    15.63 pg/mL

    Verwendungszweck

    For quantitative detection in serum, plasma, tissue homogenates and other biological fluids.

    Analytische Methode

    Quantitative

    Spezifität

    Tn-T

    Sensitivität

    9.375 pg/mL

    Bestandteile

    - ELISA Microplate
    - Lyophilized Standard
    - Sample / Standard Dilution Buffer
    - Biotin-labeled Antibody (Concentrated)
    - Antibody Dilution Buffer
    - HRP-Streptavidin Conjugate(SABC)
    - SABC Dilution Buffer
    - TMB Substrate
    - Stop Solution
    - Wash Buffer (25X)
    - Plate Sealer
    - Product Description
  • Applikationshinweise

    Optimal working dilution should be determined by the investigator.

    Kommentare

    Sandwich ELISA, Double Antibody

    Probenmenge

    100 μL

    Plattentyp

    Pre-coated

    Beschränkungen

    Nur für Forschungszwecke einsetzbar
  • Lagerung

    4 °C

    Informationen zur Lagerung

    4 °C for 6 months

    Haltbarkeit

    6 months
  • Bora, Erdoğan, Yiğittürk, Erbaş, Parlak: "The Effects of Lipid Emulsion, Magnesium Sulphate and Metoprolol in Amitriptyline-Induced Cardiovascular Toxicity in Rats." in: Cardiovascular toxicology, Vol. 18, Issue 6, pp. 547-556, (2019) (PubMed).

  • Target Alle Troponin T (Tn T) ELISA Kits anzeigen

    Troponin T (Tn T)

    Andere Bezeichnung

    Tn-T(Troponin T)

    Hintergrund

    Tn-T
Sie sind hier:
Chat with us!