Telefon:
+49 (0)241 95 163 153
Fax:
+49 (0)241 95 163 155
E-Mail:
orders@antikoerper-online.de

ATG3 ELISA Kits

(ATG3 Autophagy Related 3 (ATG3))

Wählen Sie eines der 3 ATG3-ELISA Kits aus unserem Produktangebot basierend auf 2 Validierungsbildern.

Entdecken Sie zuverlässige ATG3-Antikörper aus einer breiten Auswahl renommierter Hersteller. Unser Portfolio ermöglicht eine präzise Detektion von ATG3 über verschiedene Spezies hinweg, darunter Human, und unterstützt vielfältige Forschungsanwendungen wie .

Finden Sie schnell den passenden Antikörper mit Hilfe unserer Such-, Filter- und Vergleichstools. Jede Produktseite bietet detaillierte Validierungsdaten, Literaturhinweise und Kundenbewertungen. Im Gegensatz zu reinen Vergleichsplattformen können Sie Ihre ausgewählten Antikörper direkt über unsere Website erwerben – für einen effizienten und transparenten Beschaffungsprozess. Wählen Sie aus polyklonalen, monoklonalen oder rekombinanten ATG3-Antikörpern, die von verschiedenen Wirten wie stammen. Durchstöbern Sie unten unsere Produkte und bestellen Sie direkt, um Ihre Forschung zuverlässig zu unterstützen.

Alternative Bezeichnungen für ATG3 sind atg3, ATG3, Atg3.

3 Treffer

ATG3 Reaktivität: Human Colorimetric Sandwich ELISA 15.6 pg/mL - 1000 pg/mL Cell Lysate, Tissue Homogenate
Produktnummer ABIN5608575
1.300,19 €
Zzgl. Versandkosten 20,00 € und MwSt
96 tests
Lieferung nach: Deutschland
Lieferung in 10 bis 13 Werktagen
 
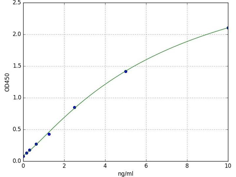
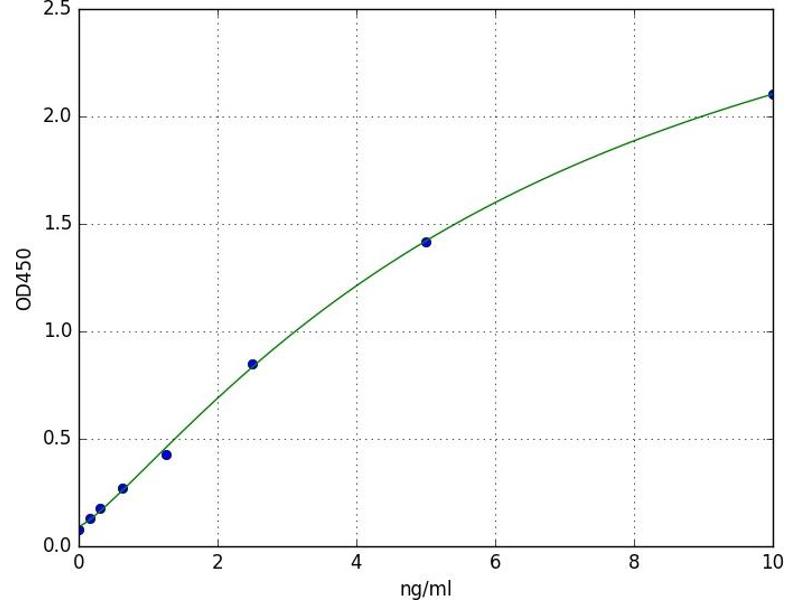
ATG3 Reaktivität: Human Colorimetric Sandwich ELISA 0.15 ng/mL - 10 ng/mL Plasma, Serum, Tissue Homogenate
Produktnummer ABIN5523989
601,54 €
Zzgl. Versandkosten 20,00 € und MwSt
96 tests
Lieferung nach: Deutschland
Lieferung in 11 bis 15 Werktagen
 
ATG3 Reaktivität: Human Colorimetric Sandwich ELISA Cell Culture Supernatant, Cell Samples, Plasma, Serum, Tissue Lysate
Produktnummer ABIN6951528
790,36 €
Zzgl. Versandkosten 20,00 € und MwSt
96 tests (Weitere Mengeneinheiten)
Lieferung nach: Deutschland
Lieferung in 25 bis 37 Werktagen
 
  • Typ Kit
    • Kit
  • Anwendung ELISA
    • ELISA
  • Reaktivität
    • Human
  • Abbildungen verfügbar
  • Methodentyp
    • Sandwich ELISA
  • Analytische Methode
    • Quantitative
  • Detektionsmethode
    • Colorimetric
  • Platte
    • Pre-coated
  • Konjugat
    • Unkonjugiert
  • Probe
    • Plasma
    • Serum
    • Tissue Homogenate
    • Cell Culture Supernatant
    • Cell Lysate
    • Cell Samples
    • Tissue Lysate
  • Hersteller
    • DLDEVELOP
    • RayBiotech
    • Wuhan Fine biotech

Aliase für ATG3 ELISA Kits

autophagy related 3 (atg3) ELISA Kits
autophagy related 3 (ATG3) ELISA Kits
autophagy related 3 (Atg3) ELISA Kits
autophagy 3 (APG3) (ATG3) ELISA Kits
similar to S. cerevisiae ATG3 (YNR007C) part of ubiquitin-like system that mediates Atg8-phosphatidylethanolamine conjugation required for protein-vacuolar targeting and autophagy (ATG3) ELISA Kits
2610016C12Rik ELISA Kits
APG3 ELISA Kits
APG3-LIKE ELISA Kits
APG3L ELISA Kits
Apg3l ELISA Kits
ATATG3 ELISA Kits
atg3 ELISA Kits
Atg3l ELISA Kits
im:6910145 ELISA Kits
K11J9.1 ELISA Kits
K11J9_1 ELISA Kits
PC3-96 ELISA Kits
PIG-1 ELISA Kits
Pig1 ELISA Kits
wu:fb15g12 ELISA Kits
zgc:64156 ELISA Kits
Sie sind hier:
Blank Blank Blank Blank
Blank Blank Blank Blank
Chat with us!